Énédiyne

Le groupe fonctionnel énédiyne
Calicheamicine : un antibiotique antitumoral contenant une unité énédiyne

Les énédiynes sont des composés organiques contenant deux liaisons triples et une liaison double.

Les énédiynes se distinguent principalement par leur utilisation limitée en tant qu’antibiotiques antitumoraux (connus sous le nom d’antibiotiques anticancéreux énédiynes)[1]. Elles induisent efficacement l’apoptose des cellules, mais ne peuvent pas différencier les cellules cancéreuses des cellules saines. Par conséquent, des recherches sont en cours pour accroître la spécificité de leur toxicité.

Structure et réactivité

Un cycle à neuf ou dix atomes comprenant une liaison double entre deux liaisons triples constitue la structure dite de « charge active » des énédiynes. Dans cet état, la charge active est inactive. Les énédiynes s'activent chimiquement via la cyclisation de Bergman ou la cyclisation de Myers-Saito. Le mécanisme d’activation s'explique par une attaque nucléophile intramoléculaire initiée par l’une des régions variables de la molécule. L'activation peut également être déclenchée par l’attaque d’un nucléophile externe[citation nécessaire].

La cyclisation de Bergman restructure le cycle énédiyne en deux cycles plus petits. Un électron provenant de chaque liaison triple de l’énédiyne est déplacé vers les liaisons simples adjacentes, générant ainsi deux nouvelles liaisons doubles. Pendant ce processus, une autre paire d’électrons (un de chaque alcyne) est utilisée pour former une nouvelle liaison covalente. Cette réaction aboutit à la formation d’un diradical benzénoïde 1,4 fusionné à un autre cycle, constitué des atomes restants de l’énédiyne d'origine.

Mouvement des électrons lors de la cyclisation de Bergman dans une molécule générique d’énédiyne. Il en résulte un diradical benzénoïde 1,4 fusionné à un autre cycle.

Certaines énédiynes possèdent un groupe époxyde attaché à leur cycle, rendant la cyclisation de Bergman défavorable en raison de l’encombrement stérique. Pour que cette cyclisation ait lieu, l’époxyde doit être éliminé.

La cyclisation de Myers-Saito est un autre mécanisme d’activation par lequel une charge active énédiyne devient un diradical. Ce mécanisme exige que l’alcène de l’énédiyne fasse partie d’un diène possédant une double liaison dans un groupe variable. Un nucléophile attaque cette double liaison, déclenchant une réaction en chaîne de transfert d’électrons. Finalement, l'une des liaisons triples de l’énédiyne est convertie en un cumulène[2]. Le cumulène et l’alcyne restant donnent chacun un électron pour former une nouvelle liaison covalente.

Une molécule générique d’énédiyne est représentée ci-dessus. Lors de la cyclisation de Myers-Saito, le transfert d’électrons commence au niveau du diène et génère un cumulène instable. Ce cumulène et l’alcyne voisin cèdent chacun un électron, scindant l’énédiyne en deux cycles fusionnés.

Les diradicaux générés par la cyclisation de Bergman et celle de Myers-Saito sont extrêmement réactifs[citation nécessaire].

Mécanisme d’action

Abstraction d'hydrogène aux positions C1, C4 ou C5 de l'épine dorsale sucre-phosphate de l'ADN par un diradical benzénoïde 1,4 réactif.

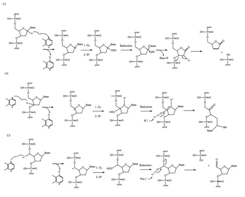
La cyclisation du groupe fonctionnel énédiyne crée un diradical benzénoïde 1,4 transitoire et hautement réactif, qui agit comme un nucléophile et attaque des électrophiles afin d'atteindre une forme plus stable. Dans les systèmes biologiques, une fois que le diradical est positionné dans le petit sillon de l’ADN bicaténaire, il abstrait deux atomes d’hydrogène des sucres des brins opposés aux positions C1, C4 ou C5[3].

Les radicaux ainsi formés sur l’ADN peuvent ensuite provoquer des liaisons interbrins ou réagir avec l’oxygène moléculaire (O₂), entraînant une rupture simple ou double des brins d’ADN[4].

Biosynthèse

Les membres de la famille des énédiynes partagent tous un noyau énédiyne unique, responsable de leur puissante cytotoxicité[5]. Ces noyaux sont dérivés de précurseurs linéaires, probablement de type polycétide, constitués de sept ou huit unités acétates couplées en tête-à-queue. L'assemblage des énédiynes repose sur une voie polycétide synthase (PKS) de type I hautement conservée et itérative[6].

Le séquençage en cluster de gènes impliqués dans la biosynthèse des énédiynes a confirmé leur origine polycétidique et permis d'élucider leurs voies et mécanismes biosynthétiques[7].

En 2024, Shen et ses collaborateurs publient de nouvelles études sur la biosynthèse des énédiynes et apportent des preuves en faveur d'un intermédiaire biosynthétique commun aux trois familles connues de produits naturels énédiyne : un triénététrayne diiodé ((13Z)-2,13-diiodopentadeca-1,7,13-triène-3,5,9,11-tétrayne), dérivé du pentadeca-1,3,5,7,9,11,13-heptaène[8].

Les différences entre les voies biosynthétiques des énédiynes proviennent de l'origine des carbones -yne ainsi que des variations dans les schémas d'incorporation isotopique. D'autres différences émergent de l'ajout de groupes fonctionnels à différentes positions des charges actives énédiyne au cours de leur maturation. Ces substituants, qui peuvent être aromatiques ou de type sucre, influencent à la fois la spécificité de liaison à l’ADN et les propriétés physiques des chromophores énédiyne[5].

En raison de la cytotoxicité des chromophores énédiyne, leur biosynthèse est fortement régulée, bien que les mécanismes de régulation restent encore largement méconnus. Il a été démontré que les organismes producteurs d’énédiynes se protègent eux-mêmes via un mécanisme de résistance basé sur une protéine d’autodéfense. Notamment, certaines bactéries utilisent la protéine CalC pour séquestrer la calichéamicine, permettant ainsi au diradical réactif d'abstraire des hydrogènes à partir d’une glycine située à l’intérieur de cette protéine plutôt qu’à partir de l’ADN[5].

Classes

Quatorze énédiynes naturelles ont été identifiées[6]. D'autres classes d'énédiynes ont été synthétisées en laboratoire.

Les énédiynes sont divisées en deux sous-familles : celles dont le cycle central comprend neuf atomes et celles avec des cycles à dix atomes[citation nécessaire].

Cycles à neuf atomes (chromoprotéines)

Les énédiynes à neuf atomes sont aussi appelées chromoprotéines en raison de la présence d'une protéine associée comme groupe variable. Cette protéine est essentielle pour le transport et la stabilisation de la charge active énédiyne[9].

Neocarzinostatin

La neocarzinostatin est un produit naturel de Streptomyces carzinostaticus. Elle forme une apoprotéine avec un polypeptide de 113 acides aminés capable de cliver la protéine histone H1[10]. La néocarzinostatine est un exemple d’énédiyne activée par la cyclisation de Myers-Saito. Un analogue de la néocarzinostatine, le SMANCS, a été approuvé au Japon comme médicament antitumoral pour le traitement du cancer du foie[11].

C-1027

Également connu sous le nom de lidamycine, C-1027 est l’un des énédiynes antitumoraux les plus puissants. Il est isolé pour la première fois à partir de Streptomyces globisporus dans un échantillon de sol prélevé dans le district de Qianjiang, en Chine. Contrairement à la plupart des énédiynes, C-1027 ne subit pas de processus d’activation pour générer un diradical benzénoïde 1,4 réactif[12]. C-1027 a montré un potentiel d’efficacité contre les tumeurs hypoxiques[4].

Cycles à dix atomes

Calichéamicines

Les calichéamicines forment une sous-famille d’énédiynes isolée à partir de Micromonospora echinospora calichensis[13]. Tous les membres de cette famille possèdent une activité antimicrobienne puissante contre les organismes Gram positifs et Gram-négatifs[13]. La calichéamicine γ1 démontre une activité antitumorale significative contre les cellules leucémiques et mélanomateuses in vivo[13]. Les calichéamicines sont structurellement similaires aux espéramicines.

Espéramicines

Les espéramicines constituent une sous-famille d’énédiynes considérées comme l’un des groupes d’antibiotiques antitumoraux les plus puissants[14]. Elles sont isolées pour la première fois à partir de Actinomadura verrucosospora. Parmi les membres de cette famille, on retrouve l’espéramicine A1, A1b, A2, A3, A4, B1, B2 et X. L’espéramicine X est une version inactive naturellement produite par A. verrucosospora[14].

Les composés contenant des groupes thiol déclenchent l’activation des espéramicines[15].

Dynémicines

Les dynémicines forment une sous-famille d’énédiynes, dont les membres sont des composés organiques produits par Micromonospora chersina[9]. Dynémicine A est le premier membre découvert de cette sous-famille. Il est isolé à partir de M. chersina dans un échantillon de sol prélevé dans l'État du Gujarat, en Inde[16].

Les dynémicines sont violettes en raison de la présence d’un groupe variable de type anthraquinone attaché au noyau énédiyne[9]. Elles présentent une forte activité antitumorale contre les cellules leucémiques et mélanomateuses[17].

Golfomycine A

La golfomycine A est une molécule énédiyne synthétique conçue pour développer un antibiotique antitumoral plus facile à produire[18]. L'induction de la rupture des brins d’ADN par la golfomycine A est dépendante du pH[18]. Les premières études in vitro montrent que la golfomycine A peut réduire les carcinomes des cellules de la vessie[18].

Voir aussi

Références

  1. Nicolaou KC, Smith AL, Yue EW, « Chemistry and biology of natural and designed enediynes », Proceedings of the National Academy of Sciences of the United States of America, vol. 90, no 13, , p. 5881–8 (PMID 8327459, PMCID 46830, DOI 10.1073/pnas.90.13.5881 Accès libre, Bibcode 1993PNAS...90.5881N)
  2. « Cyclisation de Bergman », sur www.organic-chemistry.org (consulté le )
  3. Smith AL, Nicolaou KC, « The enediyne antibiotics », Journal of Medicinal Chemistry, vol. 39, no 11, , p. 2103–17 (PMID 8667354, DOI 10.1021/jm9600398)
  4. 1 2 Chen Y, Yin M, Horsman GP, Shen B, « Improvement of the enediyne antitumor antibiotic C-1027 production by manipulating its biosynthetic pathway regulation in Streptomyces globisporus », Journal of Natural Products, vol. 74, no 3, , p. 420–4 (PMID 21250756, PMCID 3064734, DOI 10.1021/np100825y)
  5. 1 2 3 Liang ZX, « Complexity and simplicity in the biosynthesis of enediyne natural products », Natural Product Reports, vol. 27, no 4, , p. 499–528 (PMID 20336235, DOI 10.1039/b908165h)
  6. 1 2 Shen B, Hindra, Yan X, Huang T, Ge H, Yang D, Teng Q, Rudolf JD, Lohman JR, « Enediynes: Exploration of microbial genomics to discover new anticancer drug leads », Bioorganic & Medicinal Chemistry Letters, vol. 25, no 1, , p. 9–15 (PMID 25434000, PMCID 4480864, DOI 10.1016/j.bmcl.2014.11.019)
  7. Van Lanen SG, Shen B, « Biosynthesis of enediyne antitumor antibiotics », Current Topics in Medicinal Chemistry, vol. 8, no 6, , p. 448–59 (PMID 18397168, PMCID 3108100, DOI 10.2174/156802608783955656)
  8. (en) Chun Gui, Edward Kalkreuter, Lukas Lauterbach, Dong Yang et Ben Shen, « Enediyne natural product biosynthesis unified by a diiodotetrayne intermediate », Nature Chemical Biology, vol. 20, no 9, , p. 1210–1219 (ISSN 1552-4469, DOI 10.1038/s41589-024-01636-y, lire en ligne)
  9. 1 2 3 Gao Q, Thorson JS, « The biosynthetic genes encoding for the production of the dynemicin enediyne core in Micromonospora chersina ATCC53710 », FEMS Microbiology Letters, vol. 282, no 1, , p. 105–14 (PMID 18328078, PMCID 5591436, DOI 10.1111/j.1574-6968.2008.01112.x)
  10. Heyd B, Lerat G, Adjadj E, Minard P, Desmadril M, « Reinvestigation of the proteolytic activity of neocarzinostatin », Journal of Bacteriology, vol. 182, no 7, , p. 1812–8 (PMID 10714984, PMCID 101862, DOI 10.1128/jb.182.7.1812-1818.2000)
  11. Maeda H, « SMANCS and polymer-conjugated macromolecular drugs: advantages in cancer chemotherapy », Advanced Drug Delivery Reviews, vol. 46, nos 1–3, , p. 169–85 (PMID 11259839, DOI 10.1016/s0169-409x(00)00134-4)
  12. (en) Xu YJ, Zhen YS, Goldberg IH, « C1027 chromophore, a potent new enediyne antitumor antibiotic, induces sequence-specific double-strand DNA cleavage », Biochemistry, vol. 33, no 19, , p. 5947–54 (PMID 8180224, DOI 10.1021/bi00185a036)
  13. 1 2 3 Maiese WM, Lechevalier MP, Lechevalier HA, Korshalla J, Kuck N, Fantini A, Wildey MJ, Thomas J, Greenstein M, « Calicheamicins, a novel family of antitumor antibiotics: taxonomy, fermentation and biological properties », The Journal of Antibiotics, vol. 42, no 4, , p. 558–63 (PMID 2722671, DOI 10.7164/antibiotics.42.558 Accès libre)
  14. 1 2 Jerzy Golik, Jon Clardy, George Dubay, Gary Groenewold, Hiroshi Kawaguchi, Masataka Konishi, Bala Krishnan, Hiroaki Ohkuma et Kyoichiro Saitoh, « Esperamicins, a novel class of potent antitumor antibiotics. 2. Structure of esperamicin X », Journal of the American Chemical Society, vol. 109, no 11, , p. 3461–3462 (ISSN 0002-7863, DOI 10.1021/ja00245a048)
  15. Sugiura Y, Uesawa Y, Takahashi Y, Kuwahara J, Golik J, Doyle TW, « Nucleotide-specific cleavage and minor-groove interaction of DNA with esperamicin antitumor antibiotics », Proceedings of the National Academy of Sciences of the United States of America, vol. 86, no 20, , p. 7672–6 (PMID 2813351, PMCID 298132, DOI 10.1073/pnas.86.20.7672 Accès libre, Bibcode 1989PNAS...86.7672S)
  16. Konishi M, Ohkuma H, Matsumoto K, Tsuno T, Kamei H, Miyaki T, Oki T, Kawaguchi H, VanDuyne GD, Clardy J, « Dynemicin A, a novel antibiotic with the anthraquinone and 1,5-diyn-3-ene subunit », The Journal of Antibiotics, vol. 42, no 9, , p. 1449–52 (PMID 2793600, DOI 10.7164/antibiotics.42.1449 Accès libre)
  17. Unno R, Michishita H, Inagaki H, Suzuki Y, Baba Y, Jomori T, Nishikawa T, Isobe M, « Synthesis and antitumor activity of water-soluble enediyne compounds related to dynemicin A », Bioorganic & Medicinal Chemistry, vol. 5, no 5, , p. 987–99 (PMID 9208107, DOI 10.1016/s0968-0896(97)00037-0)
  18. 1 2 3 K. C. Nicolaou, Golfo Skokotas, S. Furuya, H. Suemune et D. Colette Nicolaou, « Golfomycin A, a Novel Designed Molecule with DNA-Cleaving Properties and Antitumor Activity », Angewandte Chemie International Edition in English, vol. 29, no 9, , p. 1064–1067 (ISSN 0570-0833, DOI 10.1002/anie.199010641)
  • icône décorative Portail de la pharmacie
  • icône décorative Portail de la chimie
  • icône décorative Portail de la médecine