2,5-Diméthoxy-4-bromoamphétamine
| DOB | |
| |
| Identification | |
|---|---|
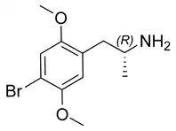
| Nom UICPA | (2R)-1-(4-bromo-2,5-diméthoxyphényl)propan-2-amine |
| Synonymes |
2,5-diméthoxy-4-bromoamphétamine |
| No CAS | , , , |
| SMILES | |
| InChI | |
| Propriétés chimiques | |
| Formule | C11H16BrNO2 [Isomères] |
| Masse molaire[1] | 274,154 ± 0,012 g/mol C 48,19 %, H 5,88 %, Br 29,15 %, N 5,11 %, O 11,67 %, |
| Propriétés physiques | |
| T° fusion | 63 à 65 °C |
| Caractère psychotrope | |
| Catégorie | Hallucinogène |
| Mode de consommation |
Ingestion |
| Autres dénominations |
|
| Unités du SI et CNTP, sauf indication contraire. | |
La DOB ou 2,5-diméthoxy-4-bromoamphétamine est une substance psychotrope hallucinogène et stimulante. On lui prête parfois un caractère enthéogène.
Historique
La DOB a été synthétisée la première fois par Alexander Shulgin en 1967.
Du fait de son caractère stupéfiant, c'est un produit réglementé par la convention sur les substances psychotropes de 1971.
Chimie
Cette substance appartient à la famille des phényléthylamines et celle des amphétamines.
Usage récréatif et détourné

Effets et conséquences
Elle aurait les mêmes effets que la 2-CB sur une durée plus longue (18 à 30 heures)[2].
Les effets ne se font sentir qu'après trois heures de latence où l'usager pourrait être tenté de prendre un autre produit et risque de se surdoser[2].
Sa toxicité est mal connue, mais de fortes doses semblent poser de graves problèmes de vasoconstriction aux extrémités des membres.
Réalité de terrain
Sa présence sur le marché clandestin reste marginale et elle y est souvent vendue pour un autre produit (pour du MDMA en comprimé ou pour du LSD sur un buvard)[2].
Molécule voisine
Elle est relativement proche d'un autre psychotrope hallucinogène : le STP ou DOM.
Notes et références
Voir aussi
- Portail de la chimie
- Portail de la pharmacie
