Acide carboxylique
En chimie organique, le terme acide carboxylique désigne une molécule comprenant un groupe carboxyle (–C(O)OH)[1]. Comme le nom l'indique, les acides carboxyliques sont des acides. Leurs bases conjuguées sont appelées ions carboxylate.
Un groupe carboxyle est un groupe fonctionnel composé d'un atome de carbone, lié par une double liaison à un atome d'oxygène et lié par une liaison simple à un groupe hydroxyle : -OH.
Généralités
En chimie, les acides carboxyliques R-COOH constituent avec les acides sulfoniques R-SO3H les deux types d'acides de la chimie organique. On les trouve de manière abondante dans la nature, sous la forme d'acide gras (lipide) et ils sont très importants en chimie industrielle. Par exemple, l'acide acétique est non seulement une brique importante pour les molécules complexes que l'on trouve en biologie, mais est aussi une molécule produite industriellement et qu'on retrouve dans le vinaigre. Un des plus connus est l'acide acétylsalicylique ou aspirine. La brique de base des protéines, les acides aminés sont des acides carboxyliques.
Le groupe fonctionnel caractéristique est le groupe carboxyle, où R désigne un hydrogène ou un groupe organique :
Lorsque le R est un groupe alkyle, les acides carboxyliques ont pour formule brute CnH2nO2 où n est entier quelconque. Le calcul du nombre d'insaturation donne : . Cette insaturation traduit la liaison double carbone-oxygène.
On écrit souvent les groupes carboxyle sous la forme réduite : -COOH (forme non ionisée du groupe). La forme ionisée du groupe est : -COO−.
Celui-ci est toujours situé en fin de chaîne carbonée. L'ajout d'un groupe carboxyle à un composé organique est une carboxylation, l'élimination de ce même groupe est une décarboxylation.
Ions carboxylate
Ce sont les bases conjuguées R-COO− des acides carboxyliques. Ces bases sont en général plutôt faibles. La charge négative sur la molécule est délocalisée sur les deux atomes d'oxygène du groupe carboxyle par mésomérie, ce qui explique la stabilité relative de ce type de molécules.
L'ion carboxylate est un tensioactif amphiphile, c'est l'espèce détergente du savon. En effet, le groupe carboxylate _COO- est hydrophile car très polaire. En revanche, la chaîne carbonée R est apolaire et donc hydrophobe et lipophile.
Nomenclature
- Systématique : si l'atome de carbone du groupe carboxyle COOH est inclus dans la chaîne principale de l'hydrocarbure correspondant (ayant le même nombre d'atomes de carbone, avec CH3 à la place de COOH) on fait suivre le nom de cet hydrocarbure du suffixe « -oïque » (dioïque pour un diacide), et en le faisant précéder du mot « acide ». Dans le cas contraire (en série cyclique par exemple), on fait suivre le mot « acide » du nom de l'hydrocarbure auquel on ajoute le suffixe « -carboxylique ».
Classe Formule*
du groupe caractéristiqueSuffixe Acides carboxyliques -(C)OOH
-COOHacide-…oïque
acide …-carboxylique- * L'atome de carbone indiqué entre parenthèses est inclus dans le nom de la structure fondamentale et non dans le suffixe[2].
- Exemples :
- L'acide heptanoïque CH3(CH2)5-COOH peut alternativement être nommé acide hexane-1-carboxylique si l'atome de carbone du -COOH n'est pas inclus dans la numérotation de la chaîne[3] ;
- L'acide heptanedioïque HOOC-(CH2)5-COOH est un acide dicarboxylique. Le suffixe -oïque est précédé du préfixe multiplicatif di- ;
- Acide cyclopentanecarboxylique :
-COOH.
- Usuelle : comme de nombreux composés organiques, les acides carboxyliques ont des noms usuels fréquemment utilisés dans la littérature et rappelant la source depuis laquelle ils furent d'abord isolés. Toutefois une liste définie par l'IUPAC règle l'usage des noms triviaux acceptés aux côtés des noms systématiques[4].
| Type | Structure | Nom UICPA | nom commun | Source |
|---|---|---|---|---|
| Monoacides aliphatiques | H-COOH | acide méthanoïque | acide formique | sécrété par certaines fourmis (latin : formica, fourmis) |
| CH3-COOH | acide éthanoïque | acide acétique | latin : acetum, vinaigre | |
| CH3CH2-COOH | acide propanoïque | acide propionique | grec : pion, gras | |
| CH3(CH2)2-COOH | acide butanoïque | acide butyrique | grec : bouturos, beurre | |
| CH3(CH2)3-COOH | acide pentanoïque | acide valérique | valériane | |
| CH3(CH2)4-COOH | acide hexanoïque | acide caproïque | ||
| CH3(CH2)5-COOH | acide heptanoïque | acide énanthique | ||
| CH3(CH2)6-COOH | acide octanoïque | acide caprylique | noix de coco, lait maternel | |
| CH3(CH2)7-COOH | acide nonanoïque | acide pélargonique | ||
| CH3(CH2)8-COOH | acide décanoïque | acide caprique | ||
| CH3(CH2)9-COOH | acide undécanoïque | acide undécylique | ||
| CH3(CH2)10-COOH | acide dodécanoïque | acide laurique | huile de noix de coco | |
| CH3(CH2)11-COOH | acide tridécanoïque | acide tridécylique | ||
| CH3(CH2)12-COOH | acide tétradécanoïque | acide myristique | noix de muscade | |
| CH3(CH2)13-COOH | acide pentadécanoïque | acide pentadécylique | ||
| CH3(CH2)14-COOH | acide hexadécanoïque | acide palmitique | huile de palme | |
| CH3(CH2)15-COOH | acide heptadécanoïque | acide margarique | ||
| CH3(CH2)16-COOH | acide octodécanoïque | acide stéarique | graisses animales | |
| CH3(CH2)17-COOH | acide nonadécanoïque | acide nonadécylique | ||
| CH3(CH2)18-COOH | acide éicosanoïque | acide arachidique | huile d'arachide, les huiles de poisson et les huiles végétales | |
| CH3(CH2)20-COOH | acide docosanoïque | acide béhénique | ||
| Monoacides aromatiques | C6H5-COOH | acide benzoïque | benzène | |
| HO-C6H4-COOH | acide 2-hydroxybenzoïque | acide salicylique | fruits (sous forme de salicylate de méthyle) | |
| Acides thiols | CH3CH(SH)-COOH | acide 2-mercaptopropanoïque | acide thiolactique |
N.B. : un moyen mnémotechnique pour se souvenir des noms des diacides linéaires, dans l'ordre croissant du nombre de carbones, est la phrase suivante : « On Mange Saucisse Grillée A Point » (Oxalique, Malonique, Succinique, Glutarique, Adipique, Pimélique). Les diacides sont utilisés pour la synthèse de polyamides et de polyesters.
D'autres types d'acides carboxyliques peuvent être cités : les acides dicarboxyliques, les acides tricarboxyliques, les acides alpha-hydroxylés, les cétoacides, les acides aminés et les acides gras.
Propriétés physiques et structurelles
État
Les acides carboxyliques sont liquides dans les conditions normales tant que leur chaine carbonée présente moins de huit atomes de carbone. Ils sont solides au-delà.
Les acides de faible masse molaire possèdent une forte odeur ; par exemple l'acide butanoïque est responsable de l'odeur du beurre rance.
Polarité, solubilité
La fonction acide carboxylique est fortement polaire et est à la fois donneur et accepteur de liaisons hydrogène. Ceci permet la création de liaisons hydrogène par exemple avec un solvant polaire comme l'eau, l'alcool, et d'autres acides carboxyliques.

De par cette propriété, les acides carboxyliques de petite taille (jusqu'à l'acide butanoïque) sont complètement solubles dans l'eau. Les molécules d'acides sont aussi capables de former des dimères stables par pont hydrogène, ce qui permet d'expliquer pourquoi leur point d'ébullition est plus élevé que celui des alcools correspondants.
Acidité
En solution dans l'eau, l'acide se dissocie partiellement en ion carboxylate, selon l'équation-bilan :
- RCOOH + H2O ⇌ RCOO− + H3O+.
Ce sont des acides faibles dans l'eau (pKA entre 4 et 5).
Comme les alcools, les acides carboxyliques montrent un caractère acide et basique : la déprotonation en ions carboxylate est facile, mais la protonation est plus difficile. Ils possèdent donc un pKA plus faible que celui des alcools. En fait, l'acidité des acides carboxyliques s'explique par l'effet inductif dans le groupe carboxyle : la liaison C=O est très polarisée (électronégativité de l'oxygène supérieure à celle du carbone) ce qui fait que le carbone est électrophile, et il attire donc les électrons de l'autre oxygène. Or cet autre oxygène est lui-même lié à un hydrogène, et cette liaison est aussi polarisée, donc l'électron de l'hydrogène qui s'est rapproché de l'oxygène est attiré à son tour par le carbone électrophile. Cet hydrogène devient donc très facilement mobile, d'où l'acidité du groupe carboxyle.
La solubilité de l'acide carboxylique croit avec le pH.
Spectroscopie
En infrarouge (IR), l'acide carboxylique présente deux bandes de valence :
| Vibration | C=O | O-H |
|---|---|---|
| Nombre d'onde (cm−1) | 1 680-1 710 | 2 500-3 200 |
| Intensité | (forte) | large, moyenne à forte |
Structure

D'après la théorie VSEPR :
- la géométrie autour de l'atome de carbone (liaisons) est de type trigonale ;
- la géométrie autour de l'atome d'oxygène de la fonction carbonyle (liaison double + doublets libres) est aussi de type trigonale ;
- la géométrie autour de l'atome d'oxygène de la fonction hydroxyle (liaisons + doublets libres) est de type tétraédrique (AX2E2).
L'acide carboxylique possède plusieurs formes mésomères.
Réactivité
Comme le montre, entre autres, les différentes formules mésomères de l'acide carboxylique :
- les atomes d'oxygène sont des sites nucléophiles ainsi que des bases de Lewis ;
- le carbone central est électrophile ;
- l'atome d'hydrogène électrophile est acide.
Dérivés
Les acides carboxyliques comptent de nombreux dérivés :

Anhydride d'acide
- les esters
- les amides
- les nitriles
En termes de groupe partant (nucléofuge), l'ordre de facilité est :
Cl− (chlorure d'acyle), RCOO− (anhydride), RO− (ester), −NH2 et −NR1R2 (amides).
Réduction
Oxydation
- Dioxyde de carbone (CO2)
Synthèse
Synthèse par oxydation
- des alcools ou des aldéhydes
- Les acides carboxyliques peuvent être obtenus par oxydation des aldéhydes, donc en fait d'une double oxydation des alcools primaires.
- des alcènes
- exemple : synthèse de l'acide acétique par oxydation du propène
Synthèse à partir d'un dérivé d'acide
Il s'agit simplement des hydrolyses des différents dérivés d'acides.
- ester
- hydrolyse en milieu acide : rétroestérification
- hydrolyse en milieu basique : saponification de l'ester
- puis
- nitrile
- puis lentement
- puis l'amide est hydrolysé trop vite pour être isolé.
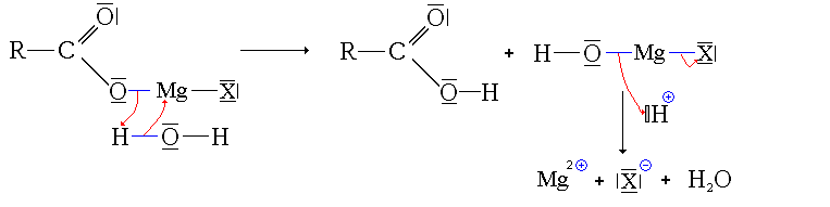
Synthèse par réaction d'un réactif de Grignard sur le dioxyde de carbone
Réaction
Conditions
La synthèse a lieu à basse température (−40 °C). Le dioxyde de carbone est alors sous forme solide, dite carboglace. Il est mis en excès. Après réaction, on effectue une hydrolyse en milieu acide pour obtenir l'acide carboxylique.
Mécanisme
Première étape : addition du réactif de Grignard sur le CO2

Deuxième étape : hydrolyse en milieu acide
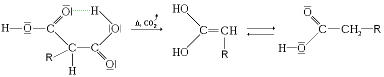
Synthèse malonique
La synthèse malonique est un ensemble de réactions permettant de synthétiser de nombreux acides carboxyliques primaires ou secondaires à partir du malonate de diéthyle.
Elle est composée :
- d'une réaction acide-base entre le malonate de diéthyle et de l'éthanoate (de sodium, de potassium, etc.) ;
- d'une substitution nucléophile, où l'on insère le groupe (primaire ou secondaire) voulu pour l'acide carboxylique final ;
- d'une double saponification des deux fonctions ester du malonate de diéthyle substitué, suivie d'une acidification du milieu ;
- d'une décarboxylation (dégagement de dioxyde de carbone par chauffage) ;
- d'un réarrangement du produit final en acide carboxylique par tautomérie.
Cette synthèse est d'autant plus intéressante qu'a priori, elle permet de synthétiser n'importe quel acide carboxylique, puisque, à part un groupe tertiaire, il semble qu'on puisse mettre ce que l'on veut à la place de R.
Attrait pour les moustiques
Une expérience menée en 2022 démontre qu'Aedes aegypti, et sans doute les moustiques piquant les humains en général, sont spécialement attirés par les individus présentant naturellement un taux élevé d'acide carboxylique dans leur sébum. Malheureusement, l'expérience observe que ce taux ne varie ni en fonction du régime alimentaire ni en fonction des produits d'hygiène utilisés. Certaines personnes sont alors condamnées à être de véritables aimants à moustiques. La sécrétion importante d'acide carboxylique étant spécifique aux humains, il est envisagé que la sélection naturelle ait amené les moustiques à être attiré par ce composant afin d'être certains de l'identité de leurs proies, mais aussi comme indice de la présence d'eau claire et propre à proximité, fournie par les humains et utile pour leur reproduction[5],[6].
Notes et références
- ↑ (en) « carboxylic acids », IUPAC, Compendium of Chemical Terminology [« Gold Book »], Oxford, Blackwell Scientific Publications, 1997, version corrigée en ligne : (2019-), 2e éd. (ISBN 0-9678550-9-8)
- ↑ R. Panico et J.-C. Richer, Nomenclature UICPA des composés organiques, Masson, 1994, p. 70, 118- (ISBN 978-2-225-84479-9). Un tableau des suffixes (et préfixes) utilisés pour désigner quelques groupes caractéristiques importants en nomenclature substitutive est consultable dans une référence IUPAC en ligne (en anglais) : Suffixes and prefixes for some important characteristic groups in substitutive nomenclature.
- ↑ Robert Panico, Jean-Claude Richer et Jean Rigaudy, Nomenclature et terminologie en chimie organique - Classes fonctionnelles. Stéréochimie, Techniques de l'Ingénieur, 1996, p. 20 (ISBN 2 85 059-001-0).
- ↑ « Table 28(a) Carboxylic acids and related groups. Unsubstituted parent… », sur acdlabs.com (consulté le ).
- ↑ (en) Daniel Leonard, « Some People Really Are Mosquito Magnets, and They’re Stuck That Way », Scientific American, (lire en ligne)
- ↑ (en) Maria Elena De Obaldia, Takeshi Morita, Laura C. Dedmon, Emely V. Zeledon, Justin R. Cross et Leslie B. Vosshall, « Differential mosquito attraction to humans is associated with skin-derived carboxylic acid levels », Cell, (lire en ligne)
Voir aussi
Articles connexes
Liens externes
- Ressources relatives à la santé :
- Ressource relative à la recherche :
- Notices dans des dictionnaires ou encyclopédies généralistes :
- Portail de la chimie

