Acide galacturonique
| Acide galacturonique | |
| |
| Identification | |
|---|---|
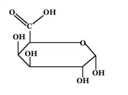
| Nom UICPA | (2S,3R,4S,5R)-2,3,4,5-Tetrahydroxy-6-oxo-hexanoic acid |
| No CAS | |
| No ECHA | 100.035.495 |
| No CE | 211-682-6 |
| SMILES | |
| InChI | |
| Propriétés chimiques | |
| Formule | C6H10O7 [Isomères] |
| Masse molaire[1] | 194,139 4 ± 0,007 6 g/mol C 37,12 %, H 5,19 %, O 57,69 %, |
| Unités du SI et CNTP, sauf indication contraire. | |
L'acide galacturonique est un acide uronique et un constituant de la pectine[2]. Cette dernière est responsable de la rigidité des parois des cellules végétales.
Notes et références
- ↑ Masse molaire calculée d’après « Atomic weights of the elements 2007 », sur www.chem.qmul.ac.uk.
- ↑ (en) Alphons C. J. Voragen, Claus Rolin, Beinta U. Marr, Ian Challen, Abdelwahab Riad, Rachid Lebbar, Svein Halvor Knutsen, Polysaccharides, Wiley-VCH Verlag GmbH & Co, coll. « Ullmann's Encyclopedia of Industrial Chemistry », (DOI 10.1002/14356007.a21_a25.pub2)
Voir aussi
Liens internes
Liens externes
- Portail de la chimie
