Alpha-Tropolone

α-Tropolone
Image illustrative de l’article Alpha-Tropolone
Identification
Nom UICPA 2-hydroxy-2,4,6-cycloheptatrién-1-one
Synonymes

2-hydroxytropone
purpurocatéchol

No CAS 533-75-5
No ECHA 100.007.799
No CE 208-577-2
No RTECS GU4075000
PubChem 10789
SMILES
InChI
Apparence poudre cristalline blanche[1]
Propriétés chimiques
Formule C7H6O2  [Isomères]
Masse molaire[2] 122,121 3 ± 0,006 6 g/mol
C 68,85 %, H 4,95 %, O 26,2 %,
Propriétés physiques
fusion 51-54 °C[1]
ébullition 80 à 84 °C (0,1 mmHg)[3]
Solubilité soluble dans l'eau[1]
Point d’éclair 112 °C)[3]
Précautions
NFPA 704[1]

Symbole NFPA 704.

 
Écotoxicologie
DL50 106 mg·kg-1 (souris, i.v.)[4]
233 mg·kg-1 (souris, s.c.)[5]
212 mg·kg-1 (souris, i.p.)[6]

Unités du SI et CNTP, sauf indication contraire.

L'α-tropolone est un dérivé de la tropone, porteur d'un groupe hydroxyle en position 2. C'est la plus stable des tropolones et est donc appelée par abus de langage simplement « tropolone ».

Synthèse

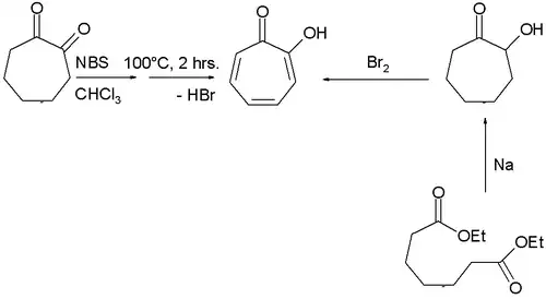
Il existe au moins deux méthodes pour synthétiser la tropolone, la première par bromation de la cycloheptane-1,2-dione en présence de N-bromosuccinimide suivie d'une déshydrohalogénation à haute température, la seconde par condensation acyloïne de l'ester d'éthyle de l'acide pimélique, l'acyloïne ainsi formé étant ensuite oxydé par la dibrome:

Deux synthèse de la tropolone

Propriétés

La tropolone est un inhibiteur de la polyphénol oxydase du raisin[7].

Notes et références

  1. 1 2 3 4 Fiche Alfa Aesar, consultée le 18 mars 2011
  2. Masse molaire calculée d’après « Atomic weights of the elements 2007 », sur www.chem.qmul.ac.uk.
  3. 1 2 Fiche Sigma aldrich
  4. Yakugaku Zasshi. Journal of Pharmacy. Vol. 92, Pg. 19, 1972. PMID
  5. Yakugaku Zasshi. Journal of Pharmacy. Vol. 91, Pg. 550, 1971 PMID
  6. Toxicology. Vol. 14, Pg. 217, 1979 PMID
  7. Time-dependent inhibition of grape polyphenol oxidase by tropolone. Edelmira Valero, Manuela Garcia-Moreno, Ramon Varon and Francisco Garcia-Carmona, J. Agric. Food Chem., 1991, 39 (6), pp 1043–1046, DOI 10.1021/jf00006a007
  • icône décorative Portail de la chimie