Amidon
| Amidon | |
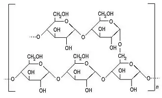
| Structure de l'amylopectine. | |
| Identification | |
|---|---|
| No CAS | |
| No ECHA | 100.029.696 |
| No CE | 232-679-6 |
| Apparence | poudre blanche inodore[1] |
| Propriétés chimiques | |
| Formule | (C6H10O5)n |
| Propriétés physiques | |
| T° fusion | 200 °C (décomposition)[1] |
| Solubilité | 50 g L−1 (eau, 90 °C)[1] |
| T° d'auto-inflammation | environ 400 °C[1] |
| Écotoxicologie | |
| DL50 | 6 600 mg kg−1 (souris, i.p.)[2] |
| Unités du SI et CNTP, sauf indication contraire. | |
L'amidon (du latin amulum ou amylum, non moulu) est un glucide (sucre) complexe (polysaccharide ou polyoside) composé d'unités D-glucose (sucre simple). Il s'agit d'une molécule de réserve des végétaux supérieurs et un élément courant de l'alimentation humaine.
Chez les animaux et les champignons, l'équivalent de l'amidon est le glycogène.
Origine botanique
L'amidon se trouve dans les organes de réserves de nombreuses plantes :
- les graines (en particulier la châtaigne), les céréales (blé, maïs, froment, etc.) et les légumineuses) ;
- les racines ;
- les tubercules et rhizomes (pomme de terre, patate douce, manioc, etc.) ; dans ce cas, il est appelé fécule et peut être extrait dans une féculerie[3] ;
- les fruits (bananes, arbre à pain) où l'amidon a pour fonction de stimuler la dispersion des graines (quand il y en a).
On trouve aussi de l'amidon dans les organes photosynthétiques de plantes, notamment au niveau des feuilles. Il est alors qualifié d'amidon transitoire, puisqu'il est synthétisé pendant la journée (lorsque la photosynthèse est active) et dégradé pendant la nuit pour fournir les autres organes en carbone et énergie.
Structure
L'amidon est un mélange de deux homopolymères, l'amylose et l'amylopectine composés d'unités D-anhydroglucopyranose (AGU) qui appartiennent à la famille des polysaccharides (ou polyosides) de formule chimique générale (C6H10O5)n. Les unités AGU sont liées entre elles par des liaisons α (1-4), en général caractéristiques des polyosides de réserve (à l'exception de l'inuline) et des liaisons α (1-6) qui sont à l'origine de ramifications dans la structure de la molécule. Ces deux homopolymères, qui diffèrent par leur degré de branchement et leur degré de polymérisation sont :
- l'amylose, légèrement ramifié avec de courtes branches et dont la masse moléculaire peut être comprise entre 10 000 et 1 000 000 daltons. La molécule est formée de 600 à 1 000 unités de glucose ;
- l'amylopectine ou isoamylose, molécule ramifiée avec de longues branches toutes les 24 à 30 unités glucose par l'intermédiaire des liaisons α (1-6). Sa masse moléculaire peut aller de 1 000 000 à 100 000 000 daltons, selon les estimations scientifiques, et son niveau de branchement est de l'ordre de 5 %. La chaîne totale peut faire entre 10 000 et 100 000 unités glucose.
Le ratio entre l'amylose et l'amylopectine dépend de la source botanique de l'amidon. Parfois, il y a aussi présence de phytoglycogène (entre 0 et 20 % de l'amidon), un analogue de l'amylopectine mais ramifié tous les 10 à 15 résidus glucose.
Biosynthèse[4]
Les plantes produisent l'amidon en convertissant d'abord le glucose-1-phosphate en ADP-glucose par l'enzyme ADP-glucose pyrophosphorylase (EC 2.7.7.23). L'enzyme synthase de l'amidon (EC 2.) ajoute ensuite l'ADP-glucose à une chaîne en croissance d'unités AGU via les liaisons α (1-4), libérant de l'ADP et créant l'amylose. L'enzyme de branchement de l'amidon crée des liaisons α (1-6) entre ces chaînes, créant la molécule d'amylopectine. Plusieurs formes de ces enzymes existent, ce qui rend la biosynthèse de l'amidon extrêmement complexe.
Structure supramoléculaire

Le grain d'amidon se présente sous forme de granules semi-cristallins : l'amylopectine est organisée en feuillets et forme ainsi la zone cristalline, tandis que l'amylose forme une zone amorphe entre les différents feuillets.
Propriétés chimiques
L'amidon est insoluble dans les solvants aqueux dans des conditions normales de température et de pression. Des traitements acides, basiques ou la sonication permettent toutefois de pallier cela mais sont en réalité destructeurs des molécules d'amidon. Dans le cas des solvants organiques : l'amidon est soluble dans le diméthylsulfoxyde dans des conditions douces; l'ajout de sel (bromure de lithium ou chlorure de lithium) empêche la rétrogradation de l'amylose, phénomène durant lequel les molécules d'amylose tendent à se rassembler dans des zones amorphes en suspension.
En suspension dans l'eau, on obtient du lait d'amidon, suspension instable mais qui, chauffée à 60 °C, devient visqueuse et translucide, entamant le processus de gélatinisation de l'amidon qui forme un empois[5].
Au contact d'une solution iodo-iodurée, un amidon contenant de l'amylose prendra une teinte violette par complexation des ions.
L'amidon ne peut pas réduire la liqueur de Fehling, car sa fonction aldéhyde (R–CHO) réductrice est « masquée » en acétal (RO-CH-RO).
La molécule seule d'amylose s'organise en une hélice droite à six unités glucose par tour.
Digestion
Lors de la digestion, les molécules d'amidon se dissocient en chaînes glucanes linéaires, elles-mêmes dissociées en glucoses simples et assimilables par le système digestif. Les amylases, présentes dans la salive ainsi que dans le suc pancréatique, permettent l'hydrolyse de l'amidon en dextrines (dont l'isomaltose), puis en maltotriose, puis en maltose (un diholoside) et glucose (un ose) pour finir. Par la suite dans l'intestin, les dextrines et le maltose sont convertis par hydrolyse en glucose, sous l'action de deux enzymes : la maltase et l'isomaltase.
La digestion est d'autant plus rapide que la proportion d'amylopectine est élevée et celle d'amylose faible dans l'amidon digéré. En effet, la formation hélicoïdale de l'amylose ne favorise pas l'accessibilité des enzymes. L'utilisation dans l'industrie agroalimentaire d'amidons à fort taux d'amylose permet ainsi de produire des aliments à faible indice glycémique, qui ne favorisent pas le diabète.
Une molécule de réserve d'énergie
Pour le végétal, l'amidon est une réserve d'énergie chimique et de nutriment, nécessaire pour survivre à la mauvaise saison (sèche ou froide). Il permet de stocker des nutriments glucidiques dans les cellules, sans les dissoudre dans l'eau. En effet, la présence de glucides simples augmente le potentiel osmotique interne des cellules, ce qui nécessite une grande quantité d'eau. L'amidon est une forme de réserve de glucides qui permet d'économiser l'eau. Dans les cellules, il se présente sous forme de grains visibles au microscope : les amyloplastes.

L'amidon est également une des ressources caloriques principales de l'espèce humaine, car il est le constituant principal des céréales (riz, maïs, blé, sorgho, etc.) et de la pomme de terre. Au contraire des glucides simples faciles à digérer, l'amidon, du fait de sa structure complexe, rend le travail enzymatique plus difficile lors de la digestion : se distinguent ainsi les glucides rapides des glucides lents. Un sucre lent est un sucre complexe polysaccharide qui serait plus difficile à décomposer que les sucres simples mono- ou disaccharides. Si cette conception glucides rapides / glucides lents est souvent utilisée dans le langage courant, elle est aujourd’hui considérée comme non pertinente par la médecine, qui préfère classer les glucides d'un point de vue diététique selon leur indice glycémique. Cependant, chez l'animal, l'amidon ne peut être stocké : les réserves sont essentiellement des lipides, qui proviennent surtout du métabolisme des glucides.
Chez les plantes de la famille des Astéracées (anciennement Composées) et chez les animaux, la molécule de réserve n'est pas l'amidon, mais respectivement l'inuline et le glycogène.
Utilisations industrielles
Les débouchés industriels sont essentiellement l'agroalimentaire à travers l'industrie des boissons, confiseries, boulangeries, l'industrie chimique qui l'utilise dans les procédés de fermentation pour la production de bioéthanol, les traitements de surface, la formulation de colles, l'encapsulation de produits pharmaceutiques, les cosmétiques, la papeterie et les matières plastiques biodégradables. L'empois d'amidon était aussi utilisé autrefois, pour l'empesage des vêtements. L'amidon de pomme de terre est également utilisé comme excipient dans diverses médications sous forme comprimées.
L'amidon issu de céréales est utilisé pour produire des édulcorants, tels que le sirop d'orge malté, le sirop de maïs, le sirop de riz brun ou encore le sirop de maïs à haute teneur en fructose.
L'amidon, principalement extrait de la pomme de terre, est souvent transformé à des fins industrielles et peut subir plusieurs modifications :
- Les modifications physiques : précuisson sur cylindre, en extrusion ou en tour d'atomisation ;
- Les modifications physico-chimiques : dextrination à haute température et à pH extrêmes ;
- Les modifications chimiques : réticulation et substitution ;
- Les modifications biologiques : hydrolyse contrôlée par des systèmes enzymatiques.
Liste des amidons modifiés
Les amidons dits « modifiés » (autorisés ou en cours d'examen de demande d'autorisation en Europe) sont repris par le « Système international de numérotation des additifs alimentaires » (SIN)[6] :
| Numéros E | Amidon modifié | Principe de la synthèse industrielle |
| E1401 | Amidon traité aux acides Amidon fluidifié |
Traitement avec l'acide chlorhydrique ou l'acide sulfurique ou l'acide phosphorique |
| E1402 | Amidon traité aux bases | |
| E1403 | Amidon blanchi | Traitement avec l’acide peracétique et eau oxygénée, ou eau de Javel ou chlorite, ou sulfites, ou permanganate de potassium ou persulfate d’ammonium |
| E1404 | Fécule oxydée | Traitement par l’hypochlorite de sodium |
| E1405 | Amidon traité aux enzymes | |
| E1410 | Phosphate de monoamidon | Estérification avec l’acide orthophosphorique ou sels de sodium ou potassium, ou le tripolyphosphate de sodium |
| E1411 | Glycérolamidon | |
| E1412 | Phosphate de diamidon estérifié au trimétaphosphate de sodium | Estérification avec le trimétaphosphate de sodium ou l’oxychlorure de phosphore |
| E1413 | Phosphate de diamidon phosphaté | Combinaison des deux traitements précédents |
| E1414 | Phosphate de diamidon acétylé | Estérification par le trimétaphosphate de sodium ou l’oxychlorure de phosphore en combinaison avec une estérification par l’anhydride acétique ou l’acétate de vinyle |
| E1420 | Acétate d'amidon estérifié à l'anhydride acétique | Estérification par l’anhydride acétique ou l’acétate de vinyle |
| E1421 | Acétate d'amidon estérifié à l'acétate de vinyle | |
| E1422 | Adipate de diamidon acétylé | Estérification par l’anhydride acétique l’anhydride adipique |
| E1423 | Glycérol de diamidon acétylé | |
| E1440 | Amidon hydroxypropylique | |
| E1442 | Phosphate de diamidon hydroxypropylique | Estérification par le trimétaphosphate de sodium ou l’oxychlorure de phosphore et éthérification avec l’oxyde de propylène |
| E1443 | Glycérol de diamidon hydroxypropylique | |
| E1450 | Octényle succinate d'amidon sodique | Estérification par l’anhydride octényl succinique |
| E1451 | Amidon acétylé oxydé | Traitement par l’hypochlorite de sodium suivi d’une estérification par l’anhydride acétique |
| E1452 | Amidon modifié, Succinate octénylique d'amidon aluminique, Octényle succinate d'amidon et d'aluminium | Modifié chimiquement avec de l'acide succinique, de l'octanol et du sulfate d'aluminium. |
Un amidon dit résistant est « communément défini comme « la somme de l’amidon et des produits de dégradation de l’amidon non absorbés dans l’intestin grêle d’individus sains ». Il comprend quatre types, le type 4 (RS4) regroupant les amidons modifiés chimiquement dont fait partie le PDP. La teneur minimale en fibres alimentaires du NI, estimée par la méthode AOAC1 no 991.43, est de 66 %. » (Avis ANSES, 2011[7])
Notes et références
- 1 2 3 4 Entrée « Starch » dans la base de données de produits chimiques GESTIS de la IFA (organisme allemand responsable de la sécurité et de la santé au travail) (allemand, anglais), accès le 27 mai 2009 (JavaScript nécessaire).
- ↑ (en) « Amidon », sur ChemIDplus (consulté le 27 mai 2009).
- ↑ La distinction entre amidon et fécule tient aux racines latines de la langue française. Ils prennent respectivement leur nom suivant la partie de la plante dont ils sont extraits : l'amidon provient exclusivement des graines de céréales (blé, maïs, riz) tandis que la fécule provient de tubercules, racines ou tiges de certaines plantes (pommes de terre, manioc, sagou, etc.).
- ↑ C Martin et A M Smith, « Starch biosynthesis. », The Plant Cell, vol. 7, no 7, , p. 971–985 (ISSN 1040-4651, PMID 7640529, lire en ligne, consulté le )
- ↑ Renée Bousquet et Anne Laurent, Travaux pratiques de techniques culinaires, Wolters Kluwer France, , p. 74.
- ↑ Codex Alimentarius (1989), Noms de catégorie et système international de numérotation des additifs alimentaires, CAC/GL 36-1989, p. 1-35.
- ↑ Avis de l'Anses relatif à l'évaluation du rapport d'évaluation initiale des autorités britanniques concernant la mise sur le marché d'un nouvel ingrédient alimentaire : phosphate de diamidon phosphaté, 16 novembre 2011.
Voir aussi
Articles connexes
Liens externes
- Ressources relatives à la santé :
- Ressource relative à la recherche :
- Notices dans des dictionnaires ou encyclopédies généralistes :
- Portail de la chimie
- Portail de la biochimie
- Alimentation et gastronomie