Bilobalide
| Bilobalide | |
![]() |
|
| Structure du bilobalide | |
| Identification | |
|---|---|
| Nom UICPA | (3aS,8R,8aS,9R,10aS)-9-tert-butyl-8,9-dihydroxydihydro-9H-furo[2,3-b]furo[3',2':2,3]cyclopenta[1,2-c]furan-2,4,7(3H,8H)-trione |
| No CAS | |
| No ECHA | 100.125.716 |
| PubChem | 73581 |
| ChEBI | 3103 |
| SMILES | |
| InChI | |
| Propriétés chimiques | |
| Formule | C15H18O8 [Isomères] |
| Masse molaire[1] | 326,298 6 ± 0,015 7 g/mol C 55,21 %, H 5,56 %, O 39,23 %, |
| Unités du SI et CNTP, sauf indication contraire. | |
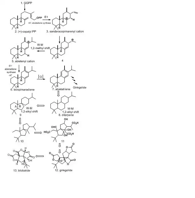
Le bilobalide est un sesquiterpène tétracyclique comprenant trois cycles γ-lactone, un cyclopentane et un groupe tert-butyle ; la présence d'un tel groupe tert-butyle reste exceptionnelle pour un composé naturel. Le bilobalide est étroitement apparenté aux ginkgolides. C'est l'un des principaux terpénoïdes des feuilles de Ginkgo biloba et on le trouve également en plus petites quantités dans les racines. Il joue un rôle dans plusieurs effets pharmacologiques des extraits de Ginkgo biloba et possède des effets neuroprotecteurs[2],[3] de même qu'il active les cytochromes P450 CYP3A1 et CYP1A2, ce qui pourrait au moins partiellement rendre compte des interactions entre les extraits de Ginkgo biloba d'autres pharmacophores[4].
Le bilobalide est synthétisé de façon très semblable aux ginkgolides. Il dérive du géranylgéranyl-pyrophosphate (GGPP), lequel résulte de l'addition de farnésyl-pyrophosphate (FPP) à des unités d'isopentényl-pyrophosphate (IPP), ce qui conduit à un sesquiterpène — par conséquent en C15). Cette voie métabolique emprunte la voie du mévalonate (MVA) ainsi que la voie du méthylérythritol phosphate (MEP), comme l'illustre le diagramme ci-dessous.
Notes et références
- ↑ Masse molaire calculée d’après « Atomic weights of the elements 2007 », sur www.chem.qmul.ac.uk.
- ↑ (en) Francis V. Defeudis, « Bilobalide and neuroprotection », Pharmacological Research, vol. 46, no 6, , p. 565-568 (PMID 12457632, DOI 10.1016/S1043-6618(02)00233-5, lire en ligne)
- ↑ (en) Cornelia Kiewert, Vikas Kumar, Oksana Hildmann, Joachim Hartmann, Markus Hillert et Jochen Klein, « Role of glycine receptors and glycine release for the neuroprotective activity of bilobalide », Brain Research, vol. 1201, , p. 143-150 (PMID 18325484, DOI 10.1016/j.brainres.2008.01.052, lire en ligne)
- ↑ (en) Y. Deng, H.-C. Bi, L.-Z. Zhao, F. He, Y.-Q. Liu, J.-J. Yu, Z.-M. Ou, L. Ding, X. Chen, Z.-Y. Huang, M. Huang et S.-F. Zhou, « Induction of cytochrome P450s by terpene trilactones and flavonoids of the Ginkgo biloba extract EGb 761 in rats », Xenobiotica, vol. 38, no 5, , p. 465-481 (PMID 18421621, DOI 10.1080/00498250701883233, lire en ligne)
- Portail de la chimie
