Carotène

Le carotène est un terpène découvert en 1881 par Wachenroder. C'est un pigment de couleur orange ou jaune, dimère de la vitamine A. Il est important pour la photosynthèse. Il se présente majoritairement sous les formes α et β-carotène et plus minoritairement sous les formes ε, γ, δ ou ζ-carotène.
Par extension, on appelle carotènes l'ensemble des caroténoïdes qui ne sont pas oxygénés (comme le lycopène et le phytoène) : ce sont des tétraterpènes, ils comportent quarante atomes de carbone.
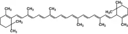
α-carotène

On peut obtenir par clivage d'un α-carotène une seule molécule de vitamine A.
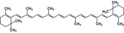
β-carotène

Le β-carotène se trouve dans certains fruits et végétaux : carotte, poivron, épinard, laitue, tomate, patate douce, brocoli, cantaloup, courge, abricot. Le taux record est cependant détenu par la spiruline (Arthrospira platensis), puisque son contenu en β-carotène est dix à quinze fois supérieur à celui de la carotte. En première approximation, plus le fruit (ou la feuille) est coloré, plus il y a de β-carotène.
Le carotène ne contribue pas activement à la photosynthèse mais absorbe le trop plein d'énergie de la chlorophylle afin d'éviter la formation d'espèces réactives oxygénées (superoxyde O2• -, oxygène singulet •O-O•, hydroxyle HO•) qui détruiraient la feuille. À l'automne, la chlorophylle contenue dans les feuilles des arbres est l'un des premiers éléments à se dégrader. Il ne reste alors que les carotènes et autres caroténoïdes, ce qui explique la couleur rouge des feuilles, phénomène particulièrement visible chez les érables et les chênes rouges d'Amérique.
La molécule de β-carotène C40H56 est une chaîne constituée de huit unités isopréniques, avec une série de onze doubles liaisons conjuguées. Elle peut absorber une lumière bleu-indigo et donc apparaître orange comme dans la carotte.
Obtention
Le β-carotène peut être obtenu soit par extraction, soit par synthèse, soit par voie biotechnologique.
Le β-carotène naturel provient principalement de l'huile de palme rouge, de la luzerne et également de l'huile de carotte. Le procédé d'extraction est délicat car le β-carotène est sensible à la chaleur et à l'oxydation. De plus, l'extraction donne un produit qui contient des impuretés, à savoir des isomères α, γ et δ du carotène.
La synthèse est complexe et s'effectue en six étapes à partir de l'acétone via la β-ionone, elle-même résultat d'une synthèse en dix étapes de l'acétone.
Propriétés et utilisation
Précurseurs de la vitamine A, les carotènes sont très répandus dans le règne végétal (choux, carottes, oranges) où ils contribuent à la photosynthèse en captant de l'énergie lumineuse dans les longueurs d'onde qui ne sont pas captées efficacement par la chlorophylle. Leur caractère hautement oxydable en fait des anti-oxydants qui désactivent les radicaux libres[1]. α et β-carotène peuvent être stockés dans le foie (lequel est capable de les transformer en vitamine grâce à des caroténases), et à la différence de la vitamine A, un excès de carotène n'est pas toxique et peut également être converti en vitamine A si nécessaire. Les gens qui en ont trop consommé peuvent jaunir légèrement. D'ailleurs, la prise de carotène est un diagnostic différentiel de l'ictère (la jaunisse).
Le β-carotène est utilisé comme colorant alimentaire (E160a) pour la préparation de la margarine, pour les produits de boulangerie, les boissons gazeuses et les sucreries. Il peut être utilisé comme provitamine A en tant que complément vitaminé. C'est un antioxydant qui a un effet bénéfique dans la lutte contre les radicaux libres. Néanmoins, son utilité comme complément alimentaire est débattue.
En alimentation animale, il est utilisé pour les aliments du poisson et du bétail. Dans l'alimentation des poules et des poulets, le β-carotène améliore la couleur des jaunes d'œufs et l'apparence de la chair.
Dans le domaine pharmaceutique, il est incorporé à certaines crèmes solaires en raison de ses propriétés d'agent filtrant contre le soleil et anti-cancéreuses. Pris en tant que complément alimentaire pendant une durée prolongée, il pourrait avoir un effet bénéfique sur les performances cognitives[2].
Un taux sanguin bas de α-carotène semble corrélé avec une mortalité augmentée, en particulier par maladies cardio-vasculaires et cancers[3].
Nomenclature
Les carotènes sont des caroténoïdes exempts d'oxygène. Les caroténoïdes contenant de l'oxygène sont appelés xanthophylles.
Les deux extrémités de la molécule de β-carotène sont structurellement identiques et sont appelées cycles β. Plus précisément, le groupe de neuf atomes de carbone à chaque extrémité forme un cycle β.
La molécule d'α-carotène possède un cycle β à une extrémité ; l'autre extrémité est appelée cycle ε. Il n'existe pas de « cycle α ».
Ces noms, et d'autres similaires, pour les extrémités des molécules de caroténoïdes constituent la base d'un système de nomenclature systématique[4], selon lequel :
- l'α-carotène est le β,ε-carotène ;
- le β-carotène est le β,β-carotène ;
- le γ-carotène (avec un cycle β et une extrémité non cyclisée, appelée ψ) est le β,ψ-carotène ;
- le δ-carotène (avec un cycle ε et une extrémité non cyclisée) est l'ε,ψ-carotène ;
- l'ε-carotène est l'ε,ε-carotène ;
- le lycopène est le ψ,ψ-carotène.
Le ζ-carotène est le précurseur biosynthétique du neurosporène, lui-même précurseur du lycopène, lui-même précurseur des carotènes α à ε.
Notes et références
- ↑ Peter H Raven, Susan R Singer, Georges B Johnson, Kenneth A Mason, Jonathan B Losos, Biologie, De Boeck Superieur, , p. 153.
- ↑ (en) Grodstein F, Kang JH, Glynn RJ et Als. A Randomized Trial of Beta Carotene Supplementation and Cognitive Function in Men: The Physicians' Health Study II , Arch Internal Med, 2007;167:2184-2190
- ↑ (en) Li C, Ford ES, Zhao G et al. Serum α-Carotene concentrations and risk of death among US adults, The Third National Health and Nutrition Examination Survey Follow-up Study, Arch Intern Med, 2011;171:507-515
- ↑ Gérard Gomez, « Les caroténoïdes », sur Académie de Montpellier (consulté le ).
Voir aussi
Articles connexes
- Caroténoïde
- Carotane, produit de la dégradation du carotène
- William Christopher Zeise
Liens externes
- Compendium suisse des médicaments : spécialités contenant Carotène
- (en) Beta-carotene website by Martha Evens, School of Chemistry, University of Bristol
- (en) Berkeley Wellness Guide to Dietary Supplements
- (en) Beta-carotene on University of Maryland Medical Center
- (en) Carotenoid Terpenoids
- Portail de la biochimie
- Portail des couleurs
- Portail de la chimie