Catécholamine

Les catécholamines sont des composés organiques synthétisés à partir de la tyrosine et jouant le rôle d'hormone ou de neurotransmetteur.

Les catécholamines les plus courantes sont l'adrénaline (épinéphrine), la noradrénaline (norépinéphrine) et la dopamine. Elles sont synthétisées par les cellules de la médullosurrénale et par les neurones postganglionnaires du système nerveux orthosympathique. L'adrénaline agit en tant que neurotransmetteur dans le système nerveux central et comme hormone dans la circulation sanguine. La noradrénaline est principalement un neurotransmetteur du système nerveux sympathique périphérique, mais se retrouve présente dans le sang. La dopamine est un neurotransmetteur essentiel du système de la motivation et de la récompense.

L'état de stress augmente le taux de catécholamines dans le sang. Au cours d'une activité physique, les catécholamines induisent des modifications physiologiques de l'organisme : augmentation de la fréquence cardiaque, de la pression artérielle et du taux de glucose dans le sang.

Par ailleurs les catécholamines (ainsi que le glucagon) interviennent dans l'équilibre du métabolisme du glycogène. Elles favorisent la dégradation du glycogène, afin de produire de l'énergie. Ce rôle est antagoniste à celui de l'insuline qui favorise le stockage du glucose sous forme de glycogène contribuant ainsi à la diminution de la glycémie (taux de sucre dans le sang).

Structure

La structure des catécholamines est basée sur un noyau catéchol portant en position 1 une chaîne latérale éthylamine éventuellement substituée. Le noyau catéchol est caractérisé par la présence de deux groupements hydroxyles adjacents sur un noyau benzénique en position 3 et 4.

DopamineNoradrénalineAdrénaline
Structure chimique des catécholamines.

La dopamine est le composé le plus simple de la famille des catécholamines, elle est constituée d'un noyau catéchol et d'une chaîne latérale éthylamine. La noradrénaline possède en plus un groupement hydroxyle sur le carbone β de la chaîne latérale, alors que l'amine de l'adrénaline est substituée par un groupement méthyle. Le nom de la noradrénaline est dérivé de l'adrénaline, le préfixe nor-, qui signifie en allemand N ohne Radikal, indique l'absence de radical méthyle sur l'azote.

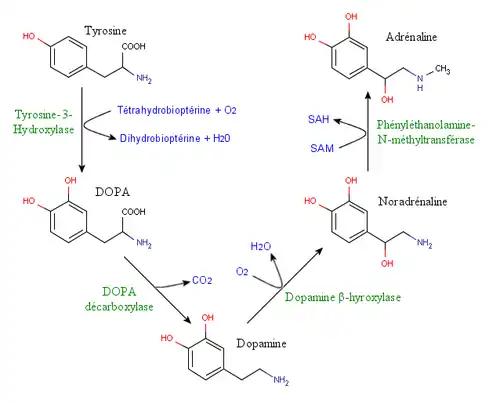
Métabolisme des catécholamines

Voie de biosynthèse des catécholamines

Biosynthèse

La voie de biosynthèse des catécholamines débute par l'hydroxylation d'un acide aminé, la tyrosine, capté dans le milieu extracellulaire par un système de transport actif. L'hydroxylation de la tyrosine en DOPA (dihydroxyphénylalanine) est catalysée par une enzyme, la tyrosine-3-hydroxylase, et constitue l'étape limitante de la synthèse des catécholamines. L'activité de cette enzyme est augmentée par les influx nerveux, par l'intermédiaire d'une phosphorylation dépendante de l'AMPc, des ions calcium ou du DAG (diacylglycérol), et diminuée par la DOPA et la noradrénaline. La tyrosine-3-hydroxylase utilise un cofacteur, la tétrahydrobioptérine (BH4) qui est oxydée en dihydrobioptérine (BH2) puis régénérée par l'intervention du NADH (nicotinamide adénine dinucléotide réduit) aussi appelée dihydrobioptérine réductase.

La DOPA est décarboxylée en dopamine par une décarboxylase spécifique des acides aminés aromatiques utilisant un cofacteur, le phosphate de pyridoxal, forme activée de la vitamine B6. La dopamine est ainsi le premier membre de la famille des catécholamines apparaissant dans cette voie de biosynthèse. Elle peut être hydroxylée en noradrénaline par la dopamine-β-hydroxylase, qui à son tour est méthylée en adrénaline par la phényléthanolamine-N-méthyltransférase (PNMT), une enzyme utilisant la S-adénosylméthionine (SAM) comme cofacteur.

Catabolisme de la dopamine

Catabolisme

Les catécholamines présentes dans la synapse sont recaptées soit par les terminaisons nerveuses, soit par les cellules gliales en faisant intervenir un transport actif dépendant des ions sodium. La dégradation des catécholamines fait intervenir deux enzymes : la catéchol-O-méthyltransférase (COMT) cytoplasmique et la monoamine oxydase (MAO) localisée sur la membrane externe des mitochondries. La catéchol-O-méthyltransférase est spécifique des catécholamines, elle réalise une méthylation d'un des deux groupements hydroxyle du noyau catéchol, préférentiellement en position 3. La monoamine oxydase, qui apparaît dans les voies de catabolisme de nombreux composés, catalyse une désamination oxydative.

L'action de la COMT sur l'adrénaline et la noradrénaline conduit respectivement à la métanéphrine (MN) et à la normétanéphrine (NMN). Ces deux métabolites subissent alors l'action de la MAO et sont transformés en acide vanillyl-mandélique (VMA). L'action des enzymes MAO et COMT sur la dopamine conduit à l'acide homovanilique (HVA).

Finalement, seuls 2 à 3 % des catécholamines libérées dans les liquides de l'organisme échappent à la destruction enzymatique et sont éliminées dans les urines, la plupart du temps sous forme conjuguée avec de l'acide glucuronique.

Sécrétion

Les catécholamines sont sécrétées par la médullosurrénale par l'intermédiaire du système nerveux autonome en réponse à un état émotionnel, à un stress, à une douleur, à une hypoxie, à une hypotension ou à une exposition au froid. Par leurs actions sur le système cardiovasculaire et sur le métabolisme glucidique, elles aident l'organisme à affronter les situations d'urgence. Elles peuvent être augmentées sous l'effet d'hypoglycémie insulinique.

L'évaluation de la médullosurrénale repose principalement sur la détermination urinaire de l'acide vanylmandélique (VMA), de la métanéphrine et des catécholamines libres. En fait, le dosage de ces différents paramètres est utile surtout pour le diagnostic du phéochromocytome ou du neuroblastome.

Excrétion

Les catécholamines sont dans une faible proportion excrétées dans l'urine à l'état libre et sous forme conjuguée au sulfate et au glucuronate. Leur excrétion est dépendante de l'activité physique du patient : elle augmente pendant les efforts intellectuels et musculaires. Comme les catécholamines d'origine alimentaire sont éliminées sous forme conjuguée, il est préférable de doser les catécholamines libres.

Fonctions biologiques

Physiopathologie

Méthode de dosage

Principe

Les catécholamines urinaires sont préalablement extraites sur de petite colonnes de silice greffé avec un groupement échangeur de cations à pH 7.5, puis elles sont éluées à l'aide d'une solution acide. L'extrait est ensuite injecté sur une HPLC. La chromatographie par HPLC consiste à former une paire d'ions entre les catécholamines, cationiques au pH de la phase mobile, et l'octylsulfonate, agent anionique de la phase fixe. Les paires d'ions formées sont apolaires et sont chromatographiées sur une colonne C18. À la sortie de la colonne, les catécholamines libres sont analysées par détection électrochimique au potentiel de 650 mV, assurant une bonne sélectivité et une excellente sensibilité.

Prélèvement des échantillons

Pour éviter des résultats faussement élevés, il faut recommander au patient un repos de 24h (éviter les efforts musculaires, stress,…) ainsi que la suppression de certains aliments (48h avant le prélèvement, ne pas absorber de vanille, de thé, de banane, de chocolat, de nicotine) et de certains médicaments qui peuvent interférer avec la technique de dosage.

La noradrénaline et l'adrénaline sont oxydées spontanément avec l'oxygène dissous en noradénochrome et en adrénochrome. Pour éviter cette auto-oxydation, catalysée par des ions de métaux lourds, l'urine du patient sera conservée en milieu acide, ou bien en présence d'un chélateur (EDTA).

Utilisation médicale

Elles sont essentiellement utilisées par voie intraveineuse (injection directe, ou de manière plus courante, par perfusion continue en seringue électrique) dans le cadre du traitement des différents types d'états de choc caractérisés par une chute de la pression artérielle, ou en adjuvants lors d'anesthésies.

Les catécholamines disponibles ont des affinités différentes selon le type de récepteurs adrénergiques, ce qui explique certaines utilisations préférentielles. Elles peuvent être identiques à celles qui sont sécrétées naturellement par l'organisme, ou être un produit de synthèse.

  • La DOPA, précurseur de la dopamine pouvant, contrairement à cette dernière, franchir la barrière hémato-encéphalique, est ainsi employée dans le traitement du syndrome parkinsonien, déficit primitif en dopamine au niveau des noyaux nigro-striataux.
  • La dopamine, à petites doses, permet une dilatation de certaines artères comportant des récepteurs à cette molécule (récepteurs dopaminergiques). Il s'agit principalement des artères rénales. A plus forte dose, les effets cardiaques prédominent et elle a alors un effet vasoconstricteur[1].
  • La dobutamine est utilisée pour améliorer la contraction du muscle cardiaque (inotropisme). Elle accélère la fréquence cardiaque, majorant ainsi sa consommation en oxygène avec l'augmentation des doses, ce qui fait son intérêt lors d'une échographie de stress.
  • L'adrénaline est utilisée essentiellement lors du traitement d'un arrêt cardiaque ou, à petites doses, lors d'un choc anaphylactique.
  • La noradrénaline est un vasoconstricteur puissant et joue beaucoup moins sur la fréquence cardiaque que l'adrénaline.
  • L'isoprotérénol stimule les récepteurs β-adrénergiques et entraîne une augmentation sensible de la fréquence et de la puissance cardiaque (c'est parmi les catécholamines celle qui présente le plus fort effet inotrope)[1]. Il est utilisé essentiellement lorsque cette dernière est trop basse (bradycardie).

On peut également citer le rôle important de l'adrénaline et la noradrénaline dans le contrôle de la lipolyse par le tissu adipeux blanc (« WAT ») et la production de chaleur par le tissu adipeux brun (« BAT ») chez le nouveau-né et les animaux hibernants. Ces catécholamines interagissent avec les adipocytes par le biais de récepteurs Bêta-3-Adrénergiques.

Les inhibiteurs de la phosphodiestérase, bien que jouant un rôle proche en médecine, ne sont pas des catécholamines.

Références

  1. 1 2 Olivier FOURCADE, Thomas GEERAERTS et Vincent MINVILLE, Traité d'anesthésie et de réanimation (4° Éd.), Paris, Lavoisier, coll. « médecine sciences », (ISBN 978-2-257-70560-0, lire en ligne), p. 180.
  • icône décorative Portail de la biologie
  • icône décorative Portail de la chimie
  • icône décorative Portail de la pharmacie
  • icône décorative Portail des neurosciences