Clairance (biologie)

La clairance est la capacité d'un tissu, organe ou organisme à éliminer une substance donnée d'un liquide biologique (le sang, la lymphe, etc.). La clairance d'une substance est le volume de solution totalement épuré (à concentration constante) de cette substance par unité de temps ; une clairance rénale de 120 mL·min-1 pour la créatinine signifie qu'au moment du test, chaque minute, une quantité de créatinine équivalente à celle contenue dans 120 ml de plasma est éliminée par le rein.

La clairance d'une substance représente un coefficient d'épuration plasmatique.

La clairance est physiologiquement plus faible chez le jeune enfant (dont le foie et le rein sont encore immatures) et chez la personne âgée.

Éléments de définition

Cela correspond à la capacité d'un organe à éliminer une substance donnée d'un volume donné de plasma artériel par unité de temps. Cette capacité peut diminuer avec l'âge, à cause de certaines maladies ou à la suite de certaines intoxications par des produits toxiques (ex. : cadmium pour le rein ou le foie par exemple).

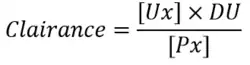
D'un point de vue quantitatif, la clairance est le rapport (à un instant donné) entre la quantité de produit éliminé par unité de temps et la concentration de la substance dans le fluide (plasma artériel en général) à cet instant. On mesure la clairance d'une substance en divisant la dose absorbée (dose administrée multipliée par le coefficient d'absorption) par la surface sous la courbe des concentrations C = f(t) (A.U.C. = Area Under Curve).

On parle de « clairance » pour une substance, un organe (foie, rein), un système, un organisme...

  • La « clairance d'une substance » est le volume apparent (virtuel) de plasma artériel totalement débarrassé de cette substance donnée par unité de temps ;
  • La « clairance totale d'un système » est habituellement calculée en additionnant la clairance hépatique et la clairance rénale.
Formule de la Clairance.

Indicateur

Clairance rénale

Dans le cas du rein, la clairance correspond à la filtration glomérulaire efficace (hors réabsorption éventuelle)

La créatinine est un indicateur fréquemment utilisé pour le rein ; le rapport entre créatinine sanguine et créatinine urinaire permet d'évaluer la fonction de filtration rénale, car :

  • la créatinine est une molécule stable, qui ne peut être éliminée que par le rein (elle n'est pas métabolisée dans l'organisme) ; la quantité épurée correspond à la quantité filtrée ;
  • n'étant pas réabsorbée ni sécrétée par le tubule rénal, la quantité excrétée correspond à la quantité épurée.

L'excrétion de la créatinine varie naturellement selon l'âge et le poids, mais on peut la comparer avec une excrétion « normale » par unité de surface corporelle.

  • un adulte en bonne santé a une clairance de 80 à 120 ml·min-1·1.73·m-2, c'est-à-dire pour une surface corporelle d'1,73 m2 (ou corrigée en fonction de la surface corporelle réelle du patient, à évaluer avec le poids et la taille). Les valeurs sont toujours plus faibles chez le nouveau-né ou jeune enfant : 50 à 80 mL·min-1
    • La fonction rénale est jugée normale si la clairance de la créatinine dépasse 90 ml·min-1·1.73·m-2[1]
    • il y a insuffisance rénale légère pour des taux compris entre 60 et 89[1]
    • l'insuffisance rénale est modérée pour une clairance de 30 à 59[1]
    • l'insuffisance rénale est sévère entre 15 et 29[1]
    • l'insuffisance rénale est mortelle (terminale) en dessous de 15[1]. En dessous d'environ 7 mL·min-1, pour survivre, le patient doit bénéficier d'une épuration extrarénale rein artificiel »).

Pour mesurer la clairance rénale, on peut aussi utiliser l'inuline qui, comme la créatinine, n'est pas réabsorbée par le tubule rénal.

Clairance hépatique

Lorsqu'une substance est absorbée oralement, une fraction plus ou moins importante ne parvient pas à rejoindre la circulation systémique, à cause des biotransformations hépatiques qu'elle subit. La clairance hépatique est le pourcentage de médicament dégradé au cours de son passage hépatique (et qui n'assure donc pas sa fonction prévue).

La clairance hépatique est un élément majeur de la pharmacocinétique à côté de la clairance rénale et de l'absorption.

Notes et références

  1. 1 2 3 4 5 Doctissimo, page sur la clairance de la créatinine, par le Dr Marie-Françoise Odou.

Voir aussi

Articles connexes


  • icône décorative Portail de la biologie