DOT (langage)
Le langage DOT est un langage de description de graphe dans un format texte. Il fait partie de l'ensemble d'outils open source Graphviz créés par les laboratoires de recherche d'AT&T.
Les fichiers textes contenant une description de graphe portent l'extension .dot ou .gv.
Exemples
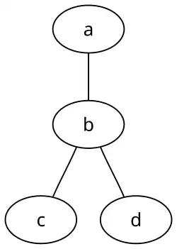
Graphe non orienté

La syntaxe DOT peut décrire des graphes non orientés.
- Le mot clé de création du graphe est graph
- Les arêtes sont décrites par un double tiret (--)
graph mon_graphe {
a -- b -- c;
b -- d;
}
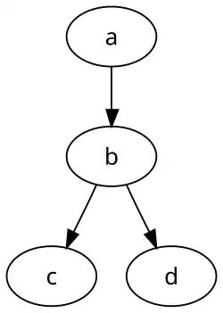
Graphe orienté

La syntaxe DOT peut décrire des graphes orientés, comme des automates finis.
- Le mot clé de création du graphe est digraph (directed graph)
- Les arcs sont décrits par une flèche (->)
digraph mon_graphe {
a -> b -> c;
b -> d;
}
Logiciels
Plusieurs programmes sont capables de traiter le langage DOT et générer des images :
- Ajax/Graphviz
- visionneuse de graphes utilisant la technologie Ajax (informatique)
- Beluging
- langages DOT et BELUGA, service en-ligne de Google
- Graphviz
- collection d'outils open source
- Grappa
- éditeur et visionneur écrit en Java
- Tulip
- importation des fichiers dot
Voir aussi
Articles connexes
Liens externes
- (en) Site officiel
- (en) Grammaire formelle du langage DOT
- (en) Liste des attributs permettant de spécifier le rendu visuel.
- Portail de l’informatique