Diagramme de jonglerie
Un diagramme de jonglerie est la représentation graphique d'une notation de jonglerie, la plus répandue étant le siteswap. Certains diagrammes servent à représenter plus intuitivement des séquences siteswaps, d’autres permettent de vérifier leur validité, de déterminer les transitions entre les différentes séquences et surtout de répertorier l’ensemble des séquences jonglables possibles pour un nombre d’objets donné. Ils sont ainsi un outil indispensable pour tirer parti des diverses notations et en comprendre la logique.
Diagramme en échelle

Les diagrammes en échelle, également appelés diagrammes d’espace temps par analogie avec ceux utilisés en physique, sont la forme la plus simple pour représenter schématiquement une séquence de jonglerie. Inventé en 1982 par Jeff Walker[1], il s’agit d’un diagramme à deux dimensions (les sites de lancer - les deux mains ; et le temps) qui représente schématiquement la trajectoire des objets lancés lors de la séquence. Il correspond à l’image obtenue si l’on filmait en plongée les trajectoires des objets lancés en avançant.
Ces diagrammes s’utilisent principalement pour illustrer une séquence notée en siteswap ou inversement pour convertir une séquence jonglée en séquence siteswap. En effet, on peut associer la valeur siteswap du lancer à chaque « marche » de l’échelle, celle-ci correspondant simplement au nombre de marches jusqu’à la prochaine relance de l’objet. On peut également associer à chaque étape l’état correspondant (noté selon le passage du temps de gauche à droite, une croix « × » représentant un objet à relancer et - un temps vide).
Les diagrammes en échelle permettent de représenter des séquences asynchrones et synchrones, à un ou plusieurs jongleurs, dans quel cas, il suffira de juxtaposer plusieurs « échelles » en parallèle.
La notation utilisée en mathématique pour décrire une tresse géométrique permet de décrire un diagramme en échelle et par ce biais une figure de jonglerie réalisable. Le diagramme en échelle d’une séquence siteswap à n objets est une tresse à n brins dans la théorie des tresses autrement dit les séquences siteswap, permutations d'un ensemble d'objets, sont similaires aux séquences mathématiques décrivant les permutations d’un ensemble de tresses.
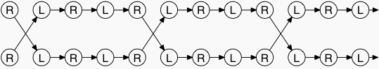
Diagramme de cause
Inventé par Martin Frost, le diagramme de cause est utilisé en passing pour représenter et inventer des séquences incluant plusieurs jongleurs. Le diagramme qui suit représente une séquence de passing classique à 6 objets pour deux jongleurs dite « 4-temps » ou « un-passe » (notation siteswap <3p333|3p333>) :

Les deux séries horizontales RLRLRL… représentent les lancers de deux jongleurs alternant entre les lancers de la main droite (R pour l’anglais « right ») et la main gauche (L pour l’anglais « left »).
Diagramme états-transitions
Alors que les diagrammes en échelle et les diagrammes de cause ne représentent qu’une seule séquence à chaque fois, les diagrammes d’états ou diagrammes états-transitions représentent l’ensemble des séquences possibles pour un nombre d’objets et une longueur maximale de lancer donnés. Ils servent ainsi à recenser l’intégralité des séquences, inventer des séquences et des transitions entre ces diverses séquences. Le concept est similaire aux diagrammes d’états-transitions servant à représenter des automates déterministes. Ces types de diagrammes et les tableaux transitions-états complets permettant leur constructions se répandent sur Internet à la fin des années 1990.
Graphe complet classique

Un graphe transitions-états classique représente l’ensemble des états et des transitions possibles entre ces états. C'est une sorte de diagramme en échelle plus complet. Par exemple, le graphe de tous les états possibles pour 3 objets et un lancer maximal de 5 permet de recenser toutes les séquences existantes dans ces conditions c’est-à-dire 26 séquences siteswap dits premières, indécomposables, et toutes les séquences composées qui en découlent. Pour construire une séquence valide, il suffit de partir d’un état, de suivre les flèches à sa guise en concaténant les valeurs des transitions rencontrées ; une fois revenu à l’état de départ la séquence siteswap obtenue sera valide. Lorsque l’état initial est l’état fondamental (plus petit état où tous les bits au plus bas), alors la séquence est dite première ; c’est une séquence indécomposable. Toutes les séquences peuvent être répertoriées par ce biais cependant ce type de graphe devient vite extrêmement complexe et illisible à mesure qu’augmente la hauteur des lancers. Le nombre d’états nécessaires pour une longueur maximale de n et un nombre d’objets k est le coefficient binomial .
Graphe réduit
Introduit en 2004 par Hans Lundmark, le graphe réduit propose une solution à la complexité des graphes complets. Bien que tous les états y soient virtuellement représentés on remplace les états qui n’ont qu’une seule transition d’entrée et une seule transition de sortie par une transition à deux chiffres, trois chiffres pour des chaînes d’états plus longues, etc. L’application récursive de cette méthode permet de réduire considérablement le nombre d’états à représenter. Le graphe réduit pour 3 objets et un lancer maximal de 5 précédent est représenté avec seulement 3 états au lieu de 10 sur le graphe complet[2]. Les transitions entre deux états se lisent avec les chiffres les plus proches de l’état de départ, ainsi pour passer de l’état fondamental 111 à l’état excité 1011 on met en œuvre soit la séquence 4 soit la séquence 52. Avec ce système, 10 états suffiront pour 4 objets et un lancer maximal de 7 contre 35 nécessaires dans le cas d’un graphe complet classique. Plus généralement, il suffira de représenter états au lieu de pour k objets et un lancer maximal de n.
Notes et références
- ↑ Variations for Numbers Jugglers dans Juggler’s World, janvier 1982, p. 11.
- ↑ Hans Lundmark, Siteswap state diagrams — Graphe réduit à trois objets avec une hauteur maximale de lancer 5.
Bibliographie
- (en) Hans Lundmark, Siteswap State Diagrams [PDF], trad. Clément Bruneau, (fr) Diagrammes d’etats et siteswap [PDF], .
Liens externes
- (en + fr) Mark Thomas, State Diagrams, 2002 — Introduction aux diagrammes d’état.
- (fr) Diagrammes de cause et SiteSwaps - Article de JiBe sur PassingDataBase décrivant les diagrammes de cause et leur utilisation en passing.
- Portail des arts du spectacle
- Portail des mathématiques