Diffusion anomale

En diffraction de rayons X, la diffusion anomale ou diffusion résonante est un phénomène qui apparaît lorsque l'énergie des rayons X incidents est proche d'un seuil d'absorption d'un atome du cristal. Les photons incidents sont alors absorbés et provoquent une excitation électronique de l'atome. La diffusion anomale se reflète dans l'expression du facteur de diffusion atomique, qui devient complexe. Cette diffusion est liée à une variation de l'indice de réfraction et du coefficient d'absorption.

La dispersion anomale des rayons X mise en évidence en 1924 par Larsson [1] a été interprétée dès 1926 par Ralph Kronig[2].

La diffusion anomale est un processus de diffusion inélastique, puisqu'il y a absorption du rayonnement incident. En cristallographie, seule la partie élastique de la diffusion anomale est utilisée : le rayonnement diffusé a la même longueur d'onde que le rayonnement incident. La partie inélastique de la diffusion anomale est utilisée en diffusion inélastique résonante de rayons X.

Facteur de diffusion atomique

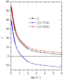
Facteur de diffusion atomique de l'iode. En noir, est le facteur de diffusion « normal ». Les courbes bleue et rouge sont la partie réelle du facteur de diffusion prenant en compte la diffusion anomale, pour 2,75 Å et 1,94 Å respectivement. Entre ces deux longueurs d'onde, l'iode possède trois arêtes d'absorption. Graphique effectué à partir des données publiées dans les tables internationales de cristallographie[3].
Dépendance en énergie de la partie réelle du facteur de diffusion atomique du chlore.

Le facteur de diffusion atomique est une mesure de la puissance de diffusion d'un atome. Il est une fonction continue du vecteur de diffusion[note 1]

et sont les vecteurs d'onde des faisceaux incident et diffusé, de même longueur d'onde λ mais de directions différentes.

Les premiers calculs du facteur de diffusion atomique furent effectués sous l'hypothèse de la diffusion Thomson et pour un atome de symétrie sphérique contenant électrons indépendants[4],[5],[6],[7],[8],[9]. Ce facteur de diffusion atomique « normal » s'écrit alors comme la somme des facteurs de diffusion de chaque électron :

avec la densité électronique de l'électron . Il en résulte que le facteur de diffusion atomique est une grandeur réelle.

Cette formule est bien adaptée pour les éléments à faible numéro atomique et pour la diffusion de rayons X à courtes longueurs d'onde. Cependant, elle ne prend pas en compte le fait que les électrons occupent des niveaux d'énergie discrets : lorsque les rayons X incidents ont une énergie proche d'une arête d'absorption de l'atome, ils provoquent une excitation des électrons, qui passent dans un niveau d'énergie supérieur et absorbent ainsi les photons. Cette diffusion anomale peut être prise en compte dans l'expression du facteur de diffusion atomique en ajoutant deux termes correctifs dépendant à la fois de la pulsation ω et du vecteur de diffusion, par analogie avec le système oscillant forcé amorti :

et décrivent les variations en amplitude et en phase du facteur de diffusion par rapport à , c étant la vitesse de la lumière dans le vide. Ainsi, la diffusion anomale donne lieu à de la diffusion incohérente. Loin d'un seuil d'absorption, ses effets sont négligeables.

La diffusion anomale a été prédite par Waller en 1928[10] ; sa prise en compte dans les calculs de facteur de diffusion atomique a suivi en 1993[11],[12].

Diffusion anomale et absorption

Les valeurs de et sont liées par les relations de Kramers-Kronig[13], la connaissance de la variation de en fonction de l'énergie (ou la longueur d'onde λ) permet de calculer . Celle-ci est obtenu à partir de la mesure du coefficient d'absorption [14],[15].

Comparaison des facteurs anomaux du Selenium entre les valeurs théoriques et des valeurs expérimentales montrant l'influence de l'environnement chimique.
Pour les applications nécessitant une connaissance précise de , il est nécessaire d'effectuer cette mesure sur le composé étudié, les tables ne prenant pas en compte l'atome dans son environnement.

Applications

  • Lorsqu'un cristal présente de la diffusion anomale, il est possible de déterminer si son groupe ponctuel de symétrie est centrosymétrique : en effet, la loi de Friedel n'est dans ce cas plus applicable car un facteur de diffusion atomique est complexe, les intensités des réflexions hkl et -h-k-l ne sont donc pas égales.
  • Bien que des applications de l'effet anomal soit citées depuis sa mise en évidence, elles n'ont réellement pris de l’essor qu'avec la disponibilité de sources synchrotrons qui permettent de disposer d'un rayonnement accordable avec précision au niveau de chaque seuil d'absorption[16],[17].
  • La méthode de la diffraction anomale est une méthode de solution du problème de phase[18] et est employée en synchrotron pour déterminer la structure de protéines et, plus généralement, de macromolécules. Elle nécessite la présence d'atomes avec un numéro atomique assez élevé dans la structure pour provoquer une diffusion anomale observable (à partir du soufre). En faisant varier la longueur d'onde des rayons X incidents près d'un seuil d'absorption d'un élément lourd, le contraste entre les différents atomes change, ce qui permet de localiser les atomes lourds dans la maille.

Notes et références

Notes

  1. Le vecteur de diffusion est ici une variable continue. Il est parfois noté dans la littérature afin d'éviter la confusion avec le vecteur de diffraction, utilisé dans la théorie de la diffraction sur un cristal. Cette confusion ne peut pas être faite ici car seule la diffusion d'une onde par un atome isolé est traitée. L'ensemble des vecteurs de diffraction est un sous-ensemble discret de celui des vecteurs de diffusion ne contenant que les vecteurs satisfaisant la condition de Laue.

Références

  1. A. Larsson, M. Siegbahn, I.Waller, Naturwiss. 52, 1212 (1924)
  2. R. de L. Kronig, J. Opt. Soc. Am. (1926) 12 p547�57, doi:10.1364/JOSA.12.000547.
  3. (en) International Tables for Crystallography : Reciprocal space, vol. C: Mathematical, physical and chemical tables, Dordrecht, Kluwer Academic Publishers, , 2e éd. (1re éd. 1992), 992 p. (ISBN 978-0-7923-5268-6)
  4. (en) W.L. Bragg et J. West, dans Zeitschrift für Kristallographie, vol. 69, 1930, p. 118
  5. (en) D.R. Hartree, « The Wave Mechanics of an Atom with a Non-Coulomb Central Field. Part I. Theory and Methods », Mathematical Proceedings of the Cambridge Philosophical Society, vol. 24, no 1, , p. 89-110 (DOI 10.1017/S0305004100011919)
  6. (en) D.R. Hartree, « The Wave Mechanics of an Atom with a non-Coulomb Central Field. Part III. Term Values and Intensities in Series in Optical Spectra », Mathematical Proceedings of the Cambridge Philosophical Society, vol. 24, no 3, , p. 426-437 (DOI 10.1017/S0305004100015954)
  7. (en) D.R. Hartree, « The Distribution of Charge and Current in an Atom consisting of many Electrons obeying Dirac's equations », Mathematical Proceedings of the Cambridge Philosophical Society, vol. 25, no 2, , p. 225-236 (DOI 10.1017/S0305004100018764)
  8. (en) L. Pauling, dans Proceedings of the Royal Society, vol. 114, 1927, p. 181
  9. (en) L. Pauling et I. Sherman, dans Zeitschrift für Kristallographie, vol. 81, 1932, p. 1
  10. (de) Ivar Waller, « Über eine verallgemeinerte Streuungsformel », Zeitschrift für Physik, vol. 51, nos 3-4, , p. 213-231 (DOI 10.1007/BF01343197)
  11. (de) H. Hönl, « Zur Dispersionstheorie der Röntgenstrahlen », Zeitschrift für Physik, vol. 84, nos 1-2, , p. 1-16 (DOI 10.1007/BF01330269)
  12. (de) H. Hönl, « Atomfaktor für Röntgenstrahlen als Problem der Dispersionstheorie (K-Schale) », Annalen der Physik, vol. 410, no 6, , p. 625-655 (DOI 10.1002/andp.19334100604)
  13. R. de L. Kronig, H. A. Kramers, Zeitschrift für Physik 48, 174-179 (1928)
  14. (en) R.W. James, The optical principles of the diffraction of X-rays, Cornell University Press, , p. 135-192
  15. (en) H. Wagenfeld, Theoretical computations of X-ray dispersion corrections. Anomalous scattering, S. Ramaseshan & S.C. Abrahams, , p. 13-24
  16. J.L. Hodeau et al., "Resonant diffraction", Chem. Rev., 101(6), pp. 1843-1867 (2001)
  17. Internat. School/Conf. on Resonant Elastic X-Ray Scattering in Condensed Matter, 2011 Aussois (France), Eur. Phys. J. Special Topics 208, (2012)
  18. (en) J.M. Guss, E.A. Merritt, R.P. Phizackerley, B. Hedman, M. Murata, K.O. Hodgson et H.C. Freeman, « Phase determination by multiple-wavelength x-ray diffraction: crystal structure of a basic "blue" copper protein from cucumbers », Science, vol. 241, no 4867, , p. 806-811 (DOI 10.1126/science.3406739)
  19. (en) Akio Kotani et Shik Shin, « Resonant inelastic x-ray scattering spectra for electrons in solids », Reviews of Modern Physics, vol. 73, no 1, , p. 203-246 (DOI 10.1103/RevModPhys.73.203)

Voir aussi

Liens externes

  • icône décorative Portail de la physique
  • icône décorative Portail de la chimie
  • icône décorative Portail des sciences des matériaux
  • icône décorative Portail des minéraux et roches