Règle de Markovnikov
La règle de Markovnikov est une loi utilisée en chimie organique pour prédire, lors d'une réaction d'addition sur un alcène, le produit majoritaire parmi les différents produits possibles. Elle a été formulée par le chimiste russe Vladimir Markovnikov en 1869[1],[2].
Principe de la règle
Énoncé de la règle

Lors de l'addition d'un composé du type sur une double liaison carbone-carbone, le produit majoritaire est celui issu du carbocation le plus stable formé lors de l'étape cinétiquement déterminante d'addition électrophile. Pour simplifier, de manière générale, l'atome d'hydrogène de l'acide s'attache à l'atome de carbone de la liaison double qui porte le plus d'atomes d'hydrogène[3].
Cette règle ne signifie pas qu'il y aurait un seul produit formé, mais indique celui qui se forme de manière prépondérante (le passage par un carbocation plan implique une isomérisation des éventuels produits chiraux formés). Elle reste également valable lorsqu'un alcène réagit avec de l'eau lors d'une réaction d'addition pour former un alcool : le groupement OH se fixe au carbone le plus substitué tandis que l'hydrogène se fixe à l'autre extrémité de la double liaison.
Explication
La base de la règle de Markovnikov est la formation du carbocation le plus stable lors de l'addition qui en général est le plus substitué grâce aux effets inductifs, mésomères et à l'hyperconjugaison. En effet, le carbocation, possédant une lacune électronique, est stabilisé par les effets inductifs et mésomères donneurs.
Contexte historique
L'une des réactions ayant servi de base à la formulation de cette loi par Markovnikov est celle qu'il réalisa en 1865 entre l'iodure d'hydrogène et le bromoéthène. Il remarqua que l'iode se fixait préférentiellement sur le carbone portant déjà le brome et que l'hydrolyse de l'halogénoalcane en présence d'oxyde argenteux conduisait quasiment toujours à la création d'une double liaison carbone-oxygène en lieu et place des halogènes.

La publication originale de Vladimir Markovnikov était peu soignée et la plupart des réactions qui y sont décrites n'ont pas fait l'objet d'une expérimentation personnelle[2]. La règle en elle-même n'apparaît que sous forme d'une note de quatre pages dans un article qui en compte 26, ce qui explique sans doute que cette règle ne fut acceptée que 60 ans après sa parution.
Règle anti-Markovnikov
Les mécanismes de type anti-Markovnikov n'impliquent pas la formation de carbocations plans.
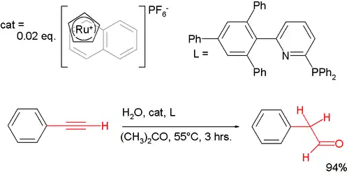
Des mécanismes qui évitent le passage par le carbocation intermédiaire, en général via un mécanisme de type radicalaire, peuvent conduire à des réactions régiosélectives en contradiction avec la règle de Markovnikov. Dans de telles réactions on parle d' « effet Kharash » ou de règle « anti-Markovnikov » en référence au fait que des additions d'halogène peuvent se faire sur le carbone le moins substitué. Cette dénomination s'étend à d'autres types de réaction que la simple addition sur les alcènes. L'une de ces réactions est celle d'hydratation de la phényléthyne qui en présence d'un catalyseur d'or donne l'acétophénone conforme à la règle mais en présence d'un catalyseur spécial à base de ruthénium donne le produit anti-Markovnikov :

L'hydrobromation d'un alcyne vrai par 2 molécules de bromure d'hydrogène conduit à un produit gem-dibromé selon un mécanisme de type Markovnikov dans un solvant polaire, mais si on mène la réaction dans un solvant apolaire et en présence de forte lumière, le dérivé gem-dibromé est de type anti-Markovnikov.

Annexes
Articles connexes
Notes et références
- ↑ W. Markownikoff, « Ueber die Abhängigkeit der verschiedenen Vertretbarkeit des Radicalwasserstoffs in den isomeren Buttersäuren », Annalen der Pharmacie, vol. 153, no 1, , p. 228–59 (DOI 10.1002/jlac.18701530204)
- 1 2 Was Markovnikov’s Rule an Inspired Guess? Peter Hughes 1152 Journal of Chemical Education • Vol. 83 No. 8 August 2006
- ↑ John McMurry, Organic Chemistry, 8e éd. (ISBN 978-0-8400-5454-8), « Section 7.8: Orientation of Electrophilic Ractions: Markovnikov's Rule », p. 240
- Portail de la chimie