Loi de Poisson
| Loi de Poisson | |
Fonction de masse Les fonctions de masse ne sont définies que pour les entiers k. | |
Fonction de répartition Les fonctions de répartition sont discontinues en chaque entier naturel. | |
| Paramètres | [note 1] |
|---|---|
| Support | |
| Fonction de masse | |
| Fonction de répartition | |
| Espérance | |
| Médiane | |
| Mode | si est un réel non entier,
et si est un nombre entier |
| Variance | |
| Asymétrie | |
| Kurtosis normalisé | |
| Entropie |
Pour grand :
|
| Fonction génératrice des moments | |
| Fonction caractéristique | |
| Fonction génératrice des probabilités | |
En théorie des probabilités et en statistiques, la loi de Poisson est une loi de probabilité discrète qui associe une probabilité à un nombre d'événements se produisant dans un intervalle de temps fixé, si ces événements se produisent avec une fréquence moyenne ou espérance connue, et indépendamment du temps écoulé depuis l'événement précédent.
La loi de Poisson est également pertinente pour décrire le nombre d'événements dans d'autres types d'intervalles, spatiaux plutôt que temporels, comme des segments, surfaces ou volumes.
Histoire
La loi de Poisson a été introduite en 1837 par le mathématicien français Siméon Denis Poisson[1], dans son ouvrage Recherches sur la probabilité des jugements en matière criminelle et en matière civile[2]. Le sujet principal de cet ouvrage consiste en certaines variables aléatoires qui dénombrent, entre autres choses, le nombre d'occurrences (parfois appelées « arrivées ») qui prennent place pendant un laps de temps donné[3].

Définition
Si le nombre moyen d'occurrences dans un intervalle de temps fixé est λ, alors la probabilité qu'il existe exactement k occurrences (k étant un entier naturel, k = 0, 1, 2…) est[1] : où :
- e est le nombre d'Euler (e ≈ 2,718)[1] ;
- k! est la factorielle de k. Il correspond à la valeur étudiée ;
- λ est un nombre réel strictement positif (λ > 0[note 1]). Il correspond à la moyenne théorique de l'échantillon et à sa variance[1].
On dit alors que X suit la loi de Poisson de paramètre λ, noté [4].
Par exemple, si un certain type d'événements se produit en moyenne 2,1 fois par an, pour étudier le nombre d'événements se produisant l'an prochain, on choisit comme modèle une loi de Poisson de paramètre λ = 2,1[1].
Exemple de cas d'application
La loi de Poisson s'applique à un décompte d'évènements par intervalle de temps (ou parfois par intervalle de longueur, etc.). À titre d'exemple, on peut considérer le nombre de voitures franchissant un point donné sur une route par période de T = dix minutes. Le paramètre λ est le nombre moyen attendu. Pour que la loi soit applicable, on considère que les évènements (les passages des voitures) sont indépendants. La loi ne s'appliquera donc plus si des voitures roulent ensemble, en convoi, ou s'il y a un embouteillage : à ce moment les voitures interagissent et leur passage n'est plus indépendant[5].
Calcul de p(k)
Par la loi binomiale
On peut trouver l'écriture de la loi de Poisson à partir de la loi binomiale. En reprenant les mêmes notations (la période de temps est notée , l'espérance ), on divise la période T en n « petites » périodes égales . En première approximation la probabilité d'avoir une occurrence de l'évènement pendant la période vaut . On peut alors approximer par une loi binomiale : c'est la probabilité d'obtenir k succès sur les n essais :
Ce n'est cependant qu'une approximation : en effet, il existe une probabilité non nulle que deux occurrences de l'évènement surviennent pendant la même période , ce qui en l'état n'est pas pris en compte par le calcul. Néanmoins, si on fait tendre n vers l'infini, cette probabilité tend vers 0. La loi de Poisson se retrouve donc comme étant la limite du calcul ci-dessus pour n très grand[6].
Pour n très grand, devient équivalent à . On a donc, en plaçant en facteur :
On fait appel à l'une des définitions possibles de la fonction exponentielle :
Par ailleurs, k étant constant :
On retrouve donc l'expression de la loi de Poisson[6] :
Raisonnement par récurrence
Il peut aussi se faire de manière inductive en étudiant sur l'intervalle [0 ; T] les fonctions Fk(t), qui donnent la probabilité que l'événement se produise k fois sur l'intervalle de temps [0 ; t]. En utilisant la récurrence et du calcul différentiel, on parvient à retrouver les formules précédentes[7].
Propriétés
Dans toute cette section X est une variable aléatoire suivant une loi de Poisson de paramètre λ.
Moments et fonctions génératrices
Moments ordinaires
Le premier moment ordinaire, ou espérance, d'une loi de Poisson se calcule par la série entière de l'exponentielle[8],[9] :
Les trois moments ordinaires suivants de la loi de Poisson sont donnés par[10] :
On en déduit la variance et l'écart type[10] :
Plus généralement, le n-ième moment ordinaire d'une loi de Poisson de paramètre λ estoù S(n, k) est le nombre de Stirling de seconde espèce de paramètres n et k.
En particulier lorsque λ = 1, le n-ième moment de X correspond au n-ième nombre de Bell. En effet cela est une conséquence de la formule de Dobiński.
La borne suivante majore les moments d'une loi de Poisson[11] : Ils sont aussi reliés par la relation de récurrence[12] :
Moments centrés
Les quatre premiers moments centrés d'une loi de Poisson sont donnés par[10],[12] :
On en déduit l'asymétrie et le kurtosis normalisé :
On a la relation de récurrence[12] :
Moments factoriels
Le r-ième moment factoriel d'une loi de Poisson est
où désigne la factorielle décroissante.
Fonction génératrice des probabilités
La fonction génératrice des probabilités d'une loi de Poisson est[8] :
Fonction génératrice des moments
La fonction génératrice des moments d'une loi de Poisson est[13] :
On reconnaît la série génératrice des polynômes de Touchard : autrement dit, le -ième moment est .
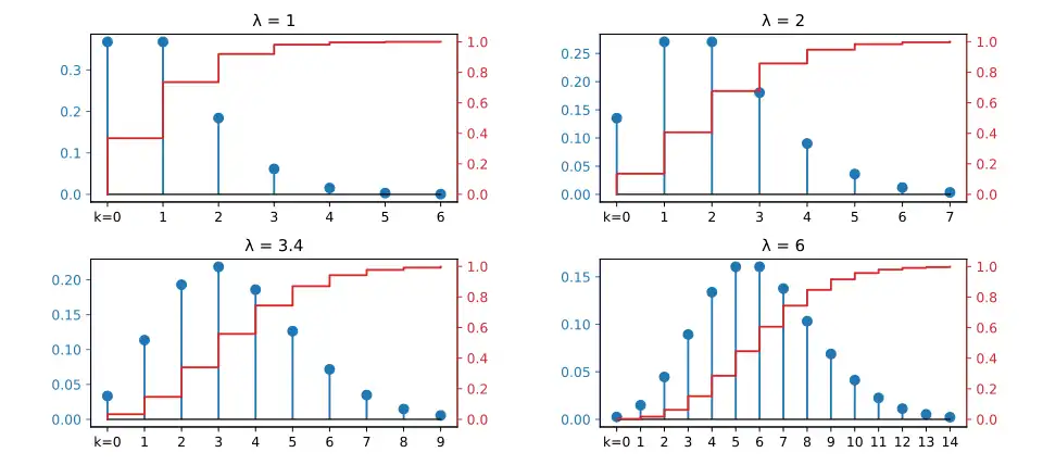
Diagramme en bâton
Comme toute loi de probabilité discrète, la fonction de masse d'une loi de Poisson peut être représentée par un diagramme en bâtons. Ci-dessous sont représentés les fonctions de masse (bleu) et les fonctions de répartition (rouge) des lois de Poisson de paramètres λ = 1 ; 2 ; 3,4 et 6.

Lorsque le paramètre λ de la loi de Poisson devient grand, (pratiquement lorsqu'il est supérieur à 5), son diagramme en bâton est correctement approché par l'histogramme d'une loi normale d'espérance et de variance égales à λ (l'intervalle de classe étant égal à l'unité). Cette convergence était mise à profit, avant que les moyens informatiques ne se généralisent, pour utiliser la loi normale (pour lesquelles des tables de valeurs étaient largement disponibles) en lieu et place de la loi de Poisson dans certains tests[14].
Stabilité de la loi de Poisson par la somme
Si les variables {Xi}i=1,...,n sont indépendantes et suivent une loi de Poisson de paramètres respectifs λi, alors leur somme Y suit une loi de Poisson de paramètre la somme des λi[8] :
Bornes de queue
Un argument de type borne de Chernoff permet de déduire des bornes de queue suivantes, c'est-à-dire de valeurs majorant la probabilité que X s'éloigne de l'espérence au delà d'un x fixé[15] :
- pour tout x > λ et
- pour tout x < λ.
Ces bornes peuvent se réécrire de la manière suivante[16]
- pour tout x > 0 et
- pour tout λ > x > 0
où pour tout . Ces dernières bornes impliquent en particulier la borne suivante[16] (qui est plus faible mais plus agréable à manipuler)
- .
La borne supérieure donnée par Chernoff peut être améliorée d'un facteur 2 au moins[17]
- pour tout x > 0.
Il est à noter que la fonction h est liée à la divergence de Kullback-Leibler entre une loi de Poisson de paramètre x + λ et une loi de Poisson de paramètre λ. En effet on a la relation
- .
Estimation du paramètre λ
L'estimateur par maximum de vraisemblance du paramètre λ d'un échantillon issu d'une loi de Poisson est la moyenne empirique. C'est un estimateur convergent, sans biais, efficace, complet, exhaustif.
Simulation
Un algorithme simple pour simuler la loi de Poisson consiste à utiliser le résultat suivant :
Théorème — Soit (Ei)i ≥ 1 une suite de variables aléatoires indépendantes et de même loi exponentielle de paramètre λ. On pose S1 = E1 et pour n ≥ 2, Sn = E1 + ... + En. On a alors :
La méthode de la transformée inverse permet de donner une façon simple de générer un tirage aléatoire suivant une loi exponentielle :
- Si U suit une loi uniforme sur [0 ; 1], alors E = –1λln(U) suit une loi exponentielle de paramètre λ.
En générant les par l'intermédiaire de variables aléatoires , On a ainsi et, en notant :
L'algorithme peut ainsi se simplifier en :
- k ← 0, p ← 1
- tant que p > e–λ
- on tire u selon un tirage aléatoire uniforme sur [0 ; 1]
- p ← p×u
- k ← k+1
- on renvoie k – 1
Lien avec d'autres lois de probabilités
- Si X et Y sont deux variables aléatoires indépendantes qui suivent des lois de Poisson de paramètres respectifs λ et μ, alors X – Y est une variable aléatoire qui suit une loi de Skellam de paramètres (λ,μ).
- Si X et Y sont deux variables aléatoires indépendantes qui suivent des lois de Poisson de paramètres λ et μ, alors la loi conditionnelle de X sachant X + Y est une loi binomiale.
- Pour de grandes valeurs de λ, on peut approcher la loi de Poisson par la loi normale de moyenne λ et de variance λ.
Lien avec la loi de Bernoulli
Le décompte des événements rares se fait souvent au travers d'une somme de variables de Bernoulli, la rareté des événements se traduisant par le fait que les paramètres de ces variables de Bernoulli sont petits (ainsi, la probabilité que chaque événement survienne est faible). Le lien entre la loi de Poisson et les événements rares peut alors s'énoncer ainsi :
Paradigme de Poisson — La somme d'un grand nombre de variables de Bernoulli indépendantes de petit paramètre converge en loi vers la loi de Poisson de paramètre
L'inégalité de Le Cam précise le paradigme de Poisson : soit un tableau de variables aléatoires de Bernoulli indépendantes, avec paramètres respectifs pk,n. On note
En particulier, si les deux conditions suivantes sont réunies :
alors Sn converge en loi vers la loi de Poisson de paramètre λ.
Dans l'énoncé du paradigme de Poisson, on fait deux hypothèses (vagues) sur les termes d'une somme Sn de variables de Bernoulli :
- les paramètres des variables de Bernoulli sont petits ; or les deux conditions ci-dessus entraînent que
ce qui reformule l'hypothèse « les paramètres des variables de Bernoulli sont petits » de manière plus précise ;
- il y a un grand nombre de termes ; or les deux conditions ci-dessus entrainent que le nombre de termes tend vers l'infini :
- Ce paradigme reste pertinent, dans certaines conditions, si l'on relaxe l'hypothèse d'indépendance[19].
- Un exemple frappant est le nombre de points fixes d'une permutation tirée au hasard.
- Un autre exemple est le nombre de points isolés du graphe aléatoire, dont la convergence vers la loi de Poisson a permis à Erdös et Rényi de démontrer, en 1960, le théorème double-exponentiel.
- Le cas particulier an = n, pk,n = λ/n, λn = λ, de l'inégalité de Le Cam, précise la rapidité de convergence de la loi binomiale de paramètres n et λ/n vers la loi de Poisson de paramètre λ.
Domaines d'application
Le domaine d'application de la loi de Poisson a été longtemps limité à celui des événements rares comme les suicides d'enfants, les arrivées de bateaux dans un port ou les accidents dus aux coups de pied de cheval dans les armées (étude de Ladislaus Bortkiewicz[20]).
Mais, depuis la fin du XXe siècle, son champ d'application s'est considérablement élargi. On l'utilise beaucoup dans les télécommunications (pour compter le nombre de communications dans un intervalle de temps donné)[21], le contrôle de qualité statistique (nombre de défauts en maîtrise statistique des procédés), la description de certains phénomènes liés à la décroissance radioactive (la désintégration des noyaux radioactifs suivant, par ailleurs, une loi exponentielle de paramètre noté aussi lambda)[22], la biologie (mutations génétiques dans l'expérience de Luria et Delbrück[23], nombre de potentiels d'actions émis par un neurone en neurosciences), la météorologie, la finance pour modéliser la probabilité de défaut d'un crédit, le Yield Management[24] (American Airlines, Lufthansa et SAS pour estimer la demande de passagers), etc.
La loi de Poisson est également utilisable dans le cadre sportif. Elle peut être utilisée afin d'effectuer des prédictions statistiques sur le nombre de buts inscrits lors d'un match. Les probabilités issues de ce modèle permettent aux bookmakers de définir leurs cotes[25].
En littérature
Dans le roman de Thomas Pynchon, L'Arc-en-ciel de la gravité, un des personnages, le statisticien Roger Mexico, utilise la loi de Poisson pour cartographier les zones d'impact des fusées allemandes V2 sur la ville de Londres durant la Seconde Guerre mondiale.
Dans le roman Jurassic Park de Michael Crichton, le mathématicien Ian Malcolm utilise la loi de Poisson pour modéliser la démographie d'une groupe de dinosaures et ainsi démontrer qu'il y a une anomalie dans le contrôle des naissances dans le parc.
Notes et références
Notes
- 1 2 Avec les conventions habituelles 0! = 1 et 00 = 1, la définition de la loi de Poisson s'étend à λ = 0 : on trouve alors p(0) = 1 et, dès que k > 0, p(k) = 0. Ainsi une variable aléatoire nulle presque sûrement peut être vue comme suivant la loi de Poisson de paramètre 0. Cette convention est cohérente avec les propriétés essentielles de la loi de Poisson de paramètre strictement positif. Elle est commode, voire indispensable, par exemple lors de l'étude des processus ponctuels de Poisson.
Références
- 1 2 3 4 5 (en) Therese Donovan et Ruth Mickey, Bayesian Statistics for Beginners : a step-by-step approach, Oxford University Press, (ISBN 9780191876820, lire en ligne
), p. 151-153 - ↑ Siméon-Denis Poisson, Recherches sur la probabilité des jugements en matière criminelle et en matière civile ; précédées des Règles générales du calcul des probabilités sur Gallica, 1837, passage 81, p. 205.
- ↑ (en) Andrew I. Dale, A History of Inverse Probability: From Thomas Bayes to Karl Pearson, Springer New York, coll. « Sources and Studies in the History of Mathematics and Physical Sciences Ser », (ISBN 978-1-4419-8652-8), p. 572
- ↑ Céline Chevalier, « Lois de probabilité usuelles (rappels) »
[PDF] - ↑ Christophe Fiszka et Adrien Sirieys, Maths appliquées - Info - ECG-1: Cours détaillé, méthodes et exercices corrigés, Editions Ellipses, (ISBN 978-2-340-07432-3, lire en ligne), p. 597
- 1 2 Éric Parent et Jacques Bernier, Le raisonnement bayésien: modélisation et interférence, Springer, coll. « Collection Statistique et probabilités appliquées », (ISBN 978-2-287-33906-6), p. 76
- ↑ Voir par exemple, Michel Henry, Autour de la modélisation en probabilités, Presses universitaires de Franche-Comté, (présentation en ligne), p. 229-231 ou encore ces notes de cours.
- 1 2 3 Jean-Pierre Lecoutre, Statistique et probabilités, Dunod, , 7e éd. (ISBN 978-2-10-078854-5, lire en ligne), chap. 3 (« Lois usuelles »)
- ↑ (en) John Gubner, Probability and Random Processes for Electrical and Computer Engineers, Cambridge University Press, (lire en ligne
), p. 82 - 1 2 3 (en) Eric W Weisstein, « Poisson Distribution », sur mathworld.wolfram.com
- ↑ (en) D Ahle Thomas, « Sharp and Simple Bounds for the raw Moments of the Binomial and Poisson Distributions », .
- 1 2 3 (en) Norman L Johnson, Adrienne W Kemp et Samuel Kotz, Univariate Discrete Distributions, Wiley, , 3e éd. (ISBN 978-0-471-27246-5, lire en ligne), p. 162
- ↑ Quentin Berger et Shen Lin, « Introduction aux probabilités »
[PDF], sur université Sorbonne-Paris-Nord, p. 103 - ↑ Dominique Foata et Jacques Franchi, Calcul des probabilités - 3e éd: Cours, exercices et problèmes corrigés, Dunod, (ISBN 978-2-10-084980-2, lire en ligne), p. 242
- ↑ (en) Michael Mitzenmacher et Eli Upfal, Probability and Computing: Randomized Algorithms and Probabilistic Analysis, Cambridge UK, Cambridge University Press, (ISBN 978-0-521-83540-4, lire en ligne), p. 97
- 1 2 (en) « A short note on Poisson tail bounds »
- ↑ (en) Michael Short, « Improved Inequalities for the Poisson and Binomial Distribution and Upper Tail Quantile Functions », International Scholarly Research Notices, vol. 2013, (DOI https://doi.org/10.1155/2013/412958, lire en ligne)
- ↑ (en) L. Le Cam, « An Approximation Theorem for the Poisson Binomial Distribution », Pacific Journal of Mathematics, vol. 10, no 4, , p. 1181–1197 (lire en ligne, consulté le ).
- ↑ (en) A. D. Barbour, L. Holst et S. Janson, Poisson approximation, Oxford, The Clarendon Press Oxford University Press, , 277 p. (ISBN 0-19-852235-5).
- ↑ (de) Ladislaus Bortkiewicz, Das Gesetz der kleinen Zahlen, (lire en ligne), p. 23.
- ↑ (en) T. C. Brown et P. K. Pollett, « Poisson approximations for telecommunications networks », The Journal of the Australian Mathematical Society. Series B. Applied Mathematics, vol. 32, no 3, , p. 348–364 (ISSN 0334-2700 et 1839-4078, DOI 10.1017/S0334270000006913, lire en ligne, consulté le )
- ↑ (en) Arkadiusz Sitek et Anna M. Celler, « Limitations of Poisson statistics in describing radioactive decay », Physica Medica, vol. 31, no 8, , p. 1105–1107 (ISSN 1120-1797, DOI 10.1016/j.ejmp.2015.08.015, lire en ligne, consulté le )
- ↑ (en) Philip M Meneely, « Pick Your Poisson: An Educational Primer for Luria and Delbrück’s Classic Paper », Genetics, vol. 202, no 2, , p. 371–375 (ISSN 1943-2631, PMID 26869481, PMCID PMC4766000, DOI 10.1534/genetics.115.184564, lire en ligne, consulté le )
- ↑ (en) Abhijit Gosavi, Emrah Ozkaya et Aykut F. Kahraman, « Simulation optimization for revenue management of airlines with cancellations and overbooking », OR Spectrum, vol. 29, no 1, , p. 21–38 (ISSN 0171-6468 et 1436-6304, DOI 10.1007/s00291-005-0018-z, lire en ligne, consulté le )
- ↑ (en) Michael Cain, David Law et David Peel, « The Favourite‐Longshot Bias and Market Efficiency in UK Football betting », Scottish Journal of Political Economy, vol. 47, no 1, , p. 25–36 (ISSN 0036-9292 et 1467-9485, DOI 10.1111/1467-9485.00151, lire en ligne, consulté le )
Voir aussi
Articles connexes
Liens externes
- Ressources relatives à la santé :
- Notices dans des dictionnaires ou encyclopédies généralistes :
- Arthur Charpentier, « La loi des petits nombres », sur Freakonometrics,
- Portail des probabilités et de la statistique

