Loi log-normale

Loi Log-normale
Image illustrative de l’article Loi log-normale
Densité de probabilité
μ=0

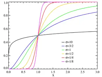
Image illustrative de l’article Loi log-normale
Fonction de répartition
μ=0

Paramètres
Support
Densité de probabilité
Fonction de répartition
Espérance
Médiane
Mode
Variance
Asymétrie
Kurtosis normalisé
Entropie

En théorie des probabilités et statistique, une variable aléatoire X est dite suivre une loi log-normale de paramètres et si la variable suit une loi normale d'espérance et de variance .

Cette loi est parfois appelée loi de Galton. Elle est habituellement notée dans le cas d'une seule variable ou dans un contexte multidimensionnel.

Une variable peut être modélisée par une loi log-normale si elle est le résultat de la multiplication d'un grand nombre de petits facteurs indépendants[1].

Caractérisation

Densité

La loi log-normale de paramètres et admet pour densité de probabilité

pour . Les paramètres et sont l'espérance et l'écart type du logarithme de la variable (puisque par définition, le logarithme de la variable est distribué selon une loi normale d'espérance et d'écart-type ).

Fonction de répartition

Par intégration de la fonction de densité, il vient que la fonction de répartition s'exprime en fonction de la fonction d'erreur erf :

Moments

Tous les moments existent et sont donnés par :

Espérance et écart-type

L'espérance est

et la variance est

Des relations équivalentes permettent d'obtenir et étant données l'espérance et l'écart-type :

Autres relations

est une variable normale quelconque de variance .

Pour deux variables log-normales, les relations sont indiquées dans le contexte multidimensionnel ci-dessous.

Comportement de la densité

Il suffit de dériver la densité de la loi log-normale pour vérifier les résultats suivants :

  • En x = 0, la singularité de la densité n’est qu’apparente car elle satisfait
La fonction peut ainsi être prolongée en 0 de manière continue en lui attribuant la valeur 0.
Lorsque la valeur du mode est très faible ( et comme dans le cartouche ci-dessus), le graphe de la densité semble diverger en 0, ce qui n’est formellement pas le cas.
  • Comme l’indique son mode, la densité admet un maximum en où sa valeur atteint

Loi log-normale multidimensionnelle

Un vecteur aléatoire est dit suivre une loi log-normale multidimensionnelle de paramètres et si le vecteur (composante par composante) suit une loi normale multidimensionnelle dont le vecteur des espérances est et la matrice de covariance est .

Cette loi est habituellement notée .


La densité de probabilité et la fonction de répartition sont les suivantes :

est la densité de .
est la fonction de répartition de .


Les espérances et covariances sont données par les relations (valables également dans le cas dégénéré) :


Remarques :

  • Attention : la matrice de terme générique n’a rien à voir avec l’exponentielle de la matrice
  • peut être singulière (cas dégénéré) sans nécessairement impliquer que le soit. Exemple :
  • À toute matrice semi-définie positive, on peut associer un vecteur normal dont elle est la covariance. Par contre, il n’existe pas nécessairement un vecteur log-normal dont elle soit la covariance. En effet, avec la relation , toute matrice semi-définie positive conduit à une matrice semi-définie positive, mais l’inverse n’est généralement pas vrai. Un contre-exemple est définie positive alors que ne l’est pas :

Positivité de la covariance

Les relations caractérisant les espérances et les covariances pouvant se déduire de la fonction génératrice des moments de la loi normale multidimensionnelle, la matrice de covariance doit naturellement être semi-définie positive. Ce résultat est ici présenté de manière directe.

Puisque les espérances sont strictement positives, est semi-définie positive si et seulement si l’est : il suffit alors de considérer uniquement cette dernière matrice. Puisque la positivité de est la seule propriété qui est exploitée, on notera cette matrice qui ne fait plus référence à une covariance.

Lemme   Soit une matrice semi-définie positive et un entier positif. Alors la matrice définie par l’est également.

Proposition 1   Si est semi-définie positive, alors l’est également.

Résultats relatifs au spectre de indiquant des bornes pour ses valeurs propres :

Proposition 2   Soit semi-définie positive et notons

  • les valeurs extrêmes des coefficients diagonaux ,
  • les valeurs propres extrêmes de ,
  • les valeurs propres extrêmes de ,
  • les valeurs propres extrêmes de
Alors

Loi de Gibrat

Historiquement nommée loi de l'effet proportionnel, puis parfois loi log-normale à 3 paramètres, cette loi est une généralisation de la loi log-normale obtenue par l’ajout d’une simple translation en posant

.

Elle est notée et ne concerne que des valeurs Son utilisation devrait se limiter aux situations où cette borne inférieure possède un sens physique et dont la valeur est connue.

Domaines d'application

Marchés financiers

La loi log-normale est souvent utilisée en analyse quantitative pour représenter les cours des instruments financiers (notamment les actions, cours de change, taux d'intérêt). Avec la loi multidimensionnelle, il est possible d’envisager des modèles susceptibles de considérer différents titres et leurs corrélations, ce qui permet ainsi d’appréhender et de quantifier les risques d'un portefeuille.

Les cours n’étant pas négatifs, il est pertinent d'exprimer leurs variations sous forme relative (en pourcentage) et, en première approximation, les cours sont décrits par une loi log-normale.

D’autre part, une raison plus profonde réside dans l’estimation de la volatilité du cours d’une action qui peut être définie par l’écart-type du rendement :

Si le prix d’une cotation passe de P1 à P2 durant une période d’un jour, le rendement journalier est r = P2 / P1 -1 et, à ce rythme, l’expression continue du rendement R annuel satisfait (T = 365 jours) :

On voit alors apparaître le lien entre la volatilité et la variable aléatoire qui affecte le logarithme du cours.

Autres domaines

  • Le nombre de mots dans une phrase peut être modélisé par une loi log-normale[2].
  • La répartition des revenus dans la population peut également être approchée par une loi log-normale.
  • En biologie, on peut l'utiliser pour modéliser le poids des organismes vivants.
  • En hydrologie, les débits mensuels de petits bassins versants à régimes pluviaux.
  • En génomique, il a été observé que les taux de mutations varient le long des chromosomes et leur distribution peut être approximée par une loi log-normale.
  • En mécanique des fluides, la loi log-normale donne une bonne approximation de la fonction de distribution en taille de gouttes à la sortie d'un aérosol ou d'un jet pulvérisé.

Notes et références

  1. Bernard Delmas, Statistique descriptive, Paris, Nathan, 1996, p. 143.
  2. Stéphane Tufféry, Data mining et statistique décisionnelle : l'intelligence des données, p. 347 sur Google Livres[source insuffisante].

Articles connexes

  • icône décorative Portail des probabilités et de la statistique