Monoïde syntaxique
En informatique théorique, et en particulier dans la théorie des automates finis, le monoïde syntaxique d'un langage formel est un monoïde naturellement attaché au langage.
L'étude de ce monoïde permet de refléter certaines propriétés combinatoires du langage par des caractéristiques algébriques du monoïde. L'exemple le plus célèbre de cette relation est la caractérisation, due à Marcel-Paul Schützenberger, des langages rationnels sans étoile (que l'on peut décrire par des expressions rationnelles avec complément mais sans l'étoile de Kleene) : ce sont les langages dont le monoïde syntaxique est fini et apériodique, c'est-à-dire ne contient pas de sous-groupe non trivial.
Définition
Reconnaissance par morphisme et par monoïde
Soit un langage sur un alphabet , soit un monoïde et soit un morphisme de dans . On dit que le morphisme reconnaît si et seulement si il existe une partie de telle que . On dit qu'un monoïde reconnaît s'il existe un morphisme qui reconnaît .
On a les résultats suivants :
- Si un monoïde reconnaît un langage et est un sous-monoïde de , alors reconnaît .
- Si un monoïde reconnaît un langage et est quotient de , alors reconnaît .
- Si un monoïde reconnaît un langage et divise (c'est-à-dire que est un quotient d'un sous-monoïde de [1]), alors reconnaît .
Monoïde syntaxique
Étant donné un langage formel sur l'alphabet , deux mots u et v sont dits syntaxiquement équivalents si tout mot w du langage dont u est un facteur donne un mot qui est encore dans le langage si on remplace l'occurrence de u par v. Formellement, le contexte d'un mot est l'ensemble des couples de mots tels que . Deux mots u et v sont syntaxiquement équivalents s'ils ont même contexte, soit
- .
Cette équivalence est en fait une congruence de monoïde, c'est-à-dire compatible à gauche et à droite avec la multiplication. Le quotient de l'ensemble des mots par la relation est un monoïde, appelé le monoïde syntaxique de . Le morphisme de sur ce monoïde qui à un mot associe sa classe est le morphisme syntaxique.
Le langage est saturé pour la congruence syntaxique, c'est-à-dire qu'il est union de classes de la congruence syntaxique. En effet, si est un mot de , alors le couple appartient au contexte de , donc de tout mot équivalent à , ce qui implique que est dans et donc que la classe de est contenue dans .
Soit le morphisme canonique de sur le monoïde syntaxique de , et soit l'image de dans ce monoïde. Alors on a
donc le monoïde syntaxique reconnaît .
Les propriétés sont extrémales au sens suivant.
- La congruence syntaxique de est la plus grossière des congruences sur qui sature .
- Le monoïde syntaxique de divise tout monoïde qui reconnaît : pour tout monoïde qui reconnaît , il existe un morphisme surjectif de sur le monoïde syntaxique de .
Monoïde des transitions
Une définition équivalente, et qui se prête mieux aux calculs, est la suivante.
Soit un automate déterministe complet reconnaissant . Ici est la fonction de transition. On note l'ensemble des relations binaires sur muni de la loi interne définie par
- ,
et on définit un morphisme qui à un mot associe la relation définie par les couples d'états tels qu'il existe un chemin de q à q' étiqueté par w :
- .
En posant on a bien . En d'autres termes, le monoïde reconnaît .
Ce monoïde est appelé le monoïde des transitions de l'automate. Le monoïde syntaxique du langage est isomorphe au monoïde des transitions de l'automate minimal reconnaissant .
Théorèmes
Rationalité par morphisme
Un langage est rationnel si et seulement s'il est reconnu par un monoïde fini. En particulier, comme le monoïde syntaxique divise tout monoïde reconnaissant , le langage est rationnel si et seulement si son monoïde syntaxique est fini.
Monoïde syntaxique et monoïde des transitions
Le monoïde syntaxique d'un langage rationnel est isomorphe au monoïde des transitions de l'automate minimal .
Exemples
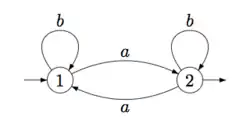
Un exemple simple

Le monoïde des transitions de l'automate ci-contre a deux éléments : l'identité sur et la permutation qui échange et . Les mots contenant un nombre pair de lettres ont pour image l'identité, les autres la permutation . Le monoïde syntaxique est le groupe des entiers modulo .
Un deuxième exemple

Soit le langage reconnu par l’automate déterministe incomplet de la deuxième figure. Il y a cinq contextes :
- Les couples de la forme avec ou avec . C'est le contexte de ;
- Les couples de la forme avec . C'est le contexte des mots dans ;
- Les couples de la forme avec . C'est le contexte des mots de ;
- Les couples de la forme avec . C'est le contexte des mots de ;
- Les autres couples. C'est le contexte des mots qui ne sont pas dans . Le langage est union des quatre premières classes d'équivalence.
Le monoïde syntaxique a cinq éléments, images de l'un des mots de chaque classe, par exemple de , de , de , de et de respectivement.
Pour calculer le monoïde de transition, on complète d'abord l'automate par un état puits numéroté par exemple par . Les fonctions définies par le mot vide , par les lettres et et par les mots et sont indiquées dans la table suivante.
| a | b | ab | ba | ||
| 1 | 1 | 1 | 2 | 2 | 3 |
| 2 | 2 | 3 | 2 | 3 | 3 |
| 3 | 3 | 3 | 3 | 3 | 3 |
L'image est un zéro du monoïde : son produit avec tout autre élément est égal à lui-même. L'image est l'élément neutre du monoïde. Enfin, l'image de est un idempotent (c'est-à-dire qu'il est égal à son carré) mais différent de l’élément neutre.
Un autre exemple
On peut aussi montrer que le monoïde syntaxique du langage de Dyck sur une paire de parenthèses est le monoïde bicyclique.
Bibliographie
- Olivier Carton, Langages formels, calculabilité et complexité, [détail de l’édition] (lire en ligne)
- Jean-Éric Pin, « Syntactic semigroups », dans G. Rozenberg, A. Salomaa (éditeurs), Handbook of Formal Languages, vol. 1 : Word, Language, Grammar, Springer Verlag, (ISBN 978-3540604204), p. 679-746
Notes et références
Articles connexes
- Portail de l'informatique théorique
- Portail de la logique
- Portail des mathématiques