Oxazole
| Oxazole | |||
| |||
| Identification | |||
|---|---|---|---|
| Nom UICPA | 1,3-oxazole | ||
| No CAS | |||
| No ECHA | 100.005.474 | ||
| No CE | 206-020-8 | ||
| PubChem | 9255 | ||
| SMILES | |||
| InChI | |||
| Propriétés chimiques | |||
| Formule | C3H3NO [Isomères] |
||
| Masse molaire[1] | 69,062 ± 0,003 1 g/mol C 52,17 %, H 4,38 %, N 20,28 %, O 23,17 %, |
||
| Propriétés physiques | |||
| T° fusion | −87 à −84 °C[2] | ||
| T° ébullition | 69 à 70 °C[2] | ||
| Point d’éclair | 19 °C[2] | ||
| Propriétés optiques | |||
| Indice de réfraction | = 1,425[2] | ||
| Précautions | |||
| Directive 67/548/EEC[2] | |||
![]() Xi ![]() F |
|||
| Transport | |||
|
|||
| Unités du SI et CNTP, sauf indication contraire. | |||
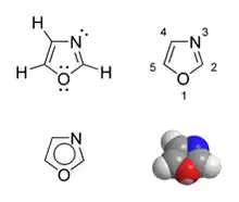
L'oxazole (n. m[3].) est le composé parent d'une vaste classe de composés organiques, hétérocycliques, aromatiques. C'est un azole avec un atome d'oxygène et un d'azote en β l'un de l'autre (position méta)[4]. Les oxazoles sont des composés aromatiques mais moins que les thiazoles. L'oxazole est une base faible, son acide conjugué a un pKa de 0,8 -à comparer aux 7,7 de l'imidazole.
Notes et références
- ↑ Masse molaire calculée d’après « Atomic weights of the elements 2007 », sur www.chem.qmul.ac.uk.
- 1 2 3 4 5 Oxazole chez Sigma-Aldrich
- ↑ wikt:oxazole
- ↑ T.L. Gilchrist, Heterocyclic Chemistry, The Bath press, 1985. (ISBN 0-582-01421-2).
Voir aussi
- Portail de la chimie



