Réaction de Leuckart
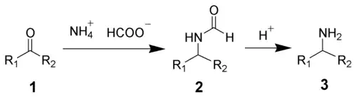
La réaction de Leuckart est une réaction chimique qui a lieu entre le sel d’ammonium de l’acide formique (le formiate d'ammonium), et un aldéhyde (ou une cétone) pour former des amines, par amination réductrice. Cette réaction est nommée d'après le chimiste allemand Rudolf Leuckart qui l'a découverte en 1885[1].

.
Quand l'acide formique est utilisé en excès, la réaction est appelée « réaction de Leuckart-Wallach », d'après le chimiste allemand Otto Wallach[2].
Références
- ↑ (de) R. Leuckart et M. Schmidt, « Ueber die Einwirkung von Phenylcyanat auf Phenole und Phenoläther », Ber. Dtsch. Chem. Ges., vol. 18, no 2, , p. 2338–2341 (ISSN 0365-9496, DOI 10.1002/cber.188501802112, lire en ligne).
- ↑ (de) O. Wallach, « Zur Kenntniss der Terpene und der ätherischen Oele; Zweiundzwanzigste Abhandlung. I. Ueber die Bestandtheile des Tujaöls », Liebigs Ann. Chem., vol. 272, no 1, , p. 99–122 (ISSN 0075-4617, DOI 10.1002/jlac.18932720103).
- Portail de la chimie