Réaction de Pfitzinger
La réaction de Pfitzinger ou réaction de Pfitzinger-Borsche est une méthode de synthèse des acides quinoléine-4-carboxyliques à partir de l'isatine et d'un composé carbonylé en présence d'une base. Elle tient son nom des chimistes allemands Wilhelm Pfitzinger (de)[1],[2] et Walther Borsche (de)[3].

Mécanisme réactionnel

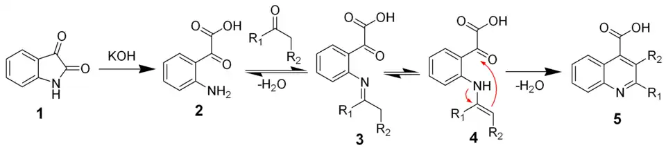
La première réaction est l'hydrolyse de l'isatine (1) par une base, par exemple l'hydroxyde de potassium, qui va rompre la liaison amide et donner un céto-acide (2). Cet intermédiaire peut être isolé, mais il n'est l'est pas en général. On fait ensuite réagir un composé carbonylé (cétone ou aldéhyde) avec la partie aniline pour former une imine (3), puis une énamine par réaction de tautomérisation (4). Cette dernière va se cycliser avec déshydratation produisant la quinoléine (5) voulue.
Variations
Variante de Halberkann

La variante de Halberkann consiste à utiliser une isatine N-acylée qui, par simple réaction avec une base, donnera l'acide 2-hydroxy-quinoléine-4-carboxylique correspondant, la partie alkyle du groupe acyle devenant le substituant en position 3 final[4].
Notes et références
- (en) Cet article est partiellement ou en totalité issu de l’article de Wikipédia en anglais intitulé « Pfitzinger reaction » (voir la liste des auteurs).
- ↑ (de) Wilhelm Pfitzinger, « Chinolinderivate aus Isatinsäure », J. Prakt. Chem., vol. 33, no 1, , p. 100 (DOI 10.1002/prac.18850330110)
- ↑ (de) Pfitzinger, W., « Chinolinderivate aus Isatinsäure », J. Prakt. Chem., vol. 38, no 1, , p. 582–584 (DOI 10.1002/prac.18880380138)
- ↑ (de) Walther Borsche, Wilhelm Jacobs, « Untersuchungen über Isatin und verwandte Verbindungen », Berichte der Deutschen Chemischen Gesellschaft, vol. 47, no 1, , p. 354–363 (DOI 10.1002/cber.19140470155)
- ↑ (de) Halberkann, J., « Abkömmlinge der Chininsäure », Chem. Ber., vol. 54, no 11, , p. 3090–3107 (DOI 10.1002/cber.19210541118, lire en ligne)
Bibliographie
- R. H. Manske, « The Chemistry of Quinolines. », Chem. Rev., vol. 30, no 1, , p. 113–144 (DOI 10.1021/cr60095a006)
- Bergstrom, F. W., « Heterocyclic Nitrogen Compounds. Part IIA. Hexacyclic Compounds: Pyridine, Quinoline, and Isoquinoline », Chem. Rev., vol. 35, no 2, , p. 77–277 (DOI 10.1021/cr60111a001)
- Shvekhgeimer, M. G.-A., « The Pfitzinger Reaction », Chem. Heterocycl. Compd., vol. 40, no 3, , p. 257–294 (DOI 10.1023/B:COHC.0000028623.41308.e5))
Voir aussi
- Synthèse de quinoléine de Camps
- Synthèse de quinoléine de Friedlaender
- Réaction de Niementowski
- Réaction de Skraup
- Portail de la chimie