Sphingosine
| Sphingosine | |
| Structure de la sphingosine | |
| Identification | |
|---|---|
| Nom UICPA | 2-aminooctadec-4-ène-1,3-diol |
| Synonymes |
Sphingénine, |
| No CAS | |
| No ECHA | 100.004.230 |
| No CE | 204-651-3 |
| DrugBank | DB03203 |
| PubChem | |
| SMILES | |
| InChI | |
| Propriétés chimiques | |
| Formule | C18H37NO2 [Isomères] |
| Masse molaire[1] | 299,491 9 ± 0,017 8 g/mol C 72,19 %, H 12,45 %, N 4,68 %, O 10,68 %, |
| Propriétés physiques | |
| T° fusion | 67 °C[2] |
| Précautions | |
| Directive 67/548/EEC | |
| Unités du SI et CNTP, sauf indication contraire. | |
La sphingosine, également appelée sphingénine, est un aminodiol possédant une double liaison (éthylénique). Cet alcool gras possède dix-huit atomes de carbone, deux groupements hydroxyle –OH, un groupement amine –NH2. C'est sur sa fonction amine que viennent se fixer les acides gras via une liaison amide. Les groupements hydroxyle ont leurs propres substitutions.
La sphingosine est à la base de la structure des sphingolipides.
Fonctions
La sphingosine peut être phosphorylée in vivo par deux kinases, la sphingosine kinase type 1 et la sphingosine kinase type 2, menant à la formation du sphingosine-1-phosphate, un puissant agent de signalisation lipidique.
Synthèse
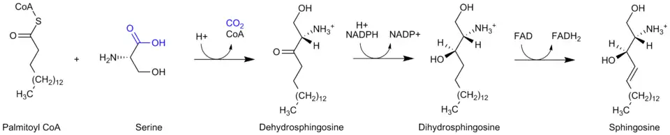
La synthèse de la sphingosine se fait à partir de la palmitoyl-CoA et de la sérine selon la réaction :

Notes et références
- ↑ Masse molaire calculée d’après « Atomic weights of the elements 2007 », sur www.chem.qmul.ac.uk.
- ↑ (en) ChemIDplus, « Sphingosine- RN: 123-78-4 », sur chem.sis.nlm.nih.gov, U.S. National Library of Medicine (consulté le )
Voir aussi
Lien externe
- (en) Sphingosine National Library of Medicine - Medical Subject Headings
- Portail de la chimie
- Portail de la biochimie