Spirooxazine

Spirooxazine
Image illustrative de l’article Spirooxazine
Représentation de la spirooxazine
Identification
Nom UICPA 1',3',3'-triméthylspiro[benzo[f][1,4]benzoxazine-3,2'-indole]
Synonymes

1,3,3-Triméthylindolinonaphthospirooxazine 1,3,3-triméthyl-spiro-[2,3'[3 H] indoline [2,1-6] napht-1,4-oxazine spiro[indoline-2,3 -naphtho[2,1-b][1,4]oxazine]

No CAS 27333-47-7
PubChem 594662
SMILES
Propriétés chimiques
Formule C22H20N2O
Masse molaire[1] 328,407 ± 0,019 7 g/mol
C 80,46 %, H 6,14 %, N 8,53 %, O 4,87 %,
328,4 g .mol−1
Propriétés physiques
Masse volumique 1,19 ± 0,1 g·cm-3
Précautions
SGH
SGH07 : Toxique, irritant, sensibilisant, narcotique
Danger
H315 et H319
Classification du CIRC
Catégorie 2 : Peut-être irritant pour l'homme
Peau Provoque une irritation

cutanée

Yeux Provoque une sévère irritation

des yeux

Composés apparentés
Isomère(s) Merocyanine

Unités du SI et CNTP, sauf indication contraire.

La spirooxazine est un composé organique de formule brute C22H20N2O qui contient dans sa structure une oxazine. C’est l'exemple le plus connu de molécules photochromiques. Elle est initialement incolore lorsqu’elle est en solution dans des solvants organiques, mais devient colorée lorsqu’elle est exposée à des rayons UV et ceci de manière réversible : le retour à la forme initiale est possible par traitement avec de la lumière visible ou par chauffage. Cela se traduit par un équilibre entre une forme dite ouverte (appelée merocyanine ou MC) et une forme fermée (SO). Cette réaction s’accompagne d’une augmentation de la polarité lors du passage de la forme fermée à la forme ouverte. La spirooxazine est intéressante du point de vue des applications possibles, notamment dans le domaine des lentilles optiques, grâce à leur forte colorabilité et à leur résistance à la dégradation[2].

Histoire

Bien que le photochromisme ait été décrit pour la première fois à la fin du 19ᵉ siècle, la spirooxazine n’a fait l’objet de nombreuses recherches que lors de la deuxième moitié du 20ᵉ siècle[3]. En 1952, Hirshberg et Fischer démontrent le photochromisme chez la spirooxazine et le spiropyrane[4]. Au début des années 1980, Nori Y.C. Chu découvre que la spirooxazine possède une forte photostabilité[5].

Caractéristiques physico-chimiques

Stabilité

Les spirooxazines sont des molécules connues pour leur résistance à la dégradation induite par la lumière ou autrement dit la résistance à la fatigue. Cela est dû à la stabilité photochimique de la structure de l’oxazine sous forme fermée ou ouverte [6]. Cette résistance est plus élevée que celle d’autres composés photochromiques tels que les spiropyranes. Les spirooxazines présentent une photostabilité supérieure de deux ou trois ordres de grandeur à celle des spirobenzopyranes. Cette stabilité peut être renforcée par diverses méthodes de protection. Nori Y.C. Chu établit que l’ajout d’un complexe organonickel au polymère d'acétobutyrate de cellulose contenant la spirooxazine augmenterait la photostabilité du photochrome. De même, il a été démontré que l'ajout d'un stabilisateur de lumière à amine encombrée à des films polymères contenant la spirooxazine améliorerait la résistance à la fatigue. L'utilisation de phénols encombrés tels que le 2,6-di(tertbutyl)phénol permet également d’accroître la stabilité du photochrome. Ils permettent d’améliorer la durabilité photochromique, mais aussi la réponse photochromique [6]. La forme ouverte des spirooxazines est plus stable que la forme fermée car elle est moins encombrée. Cependant, la forme ouverte a une faible stabilité thermique en raison de la densité électronique de l'atome d'oxygène dans le cycle naphtalène. La stabilité thermique de la forme ouverte peut être améliorée en diminuant cette densité électronique par l'introduction de groupes électroattracteurs dans le cycle naphtalène [7]. Dans certains cas, les spirooxazines sont capables de conserver leur stabilité structurelle et thermique lorsque deux paramètres environnementaux (température et polarité) sont modifiés. Les spirooxazines peuvent être stockées pendant une longue période à température ambiante, sans effets sur leurs propriétés photochromiques, même dans des conditions humides et à des températures élevées (>50°C) [8]. En outre, lorsque la polarité du solvant change, les spirooxazines sont à peine affectées que le changement est négligeable.

Propriétés photochromiques

Propriétés

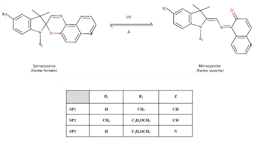
Le photochromisme est un phénomène de variation du spectre d’absorption d’une espèce chimique de manière réversible sous l’effet de la lumière. Il survient lors du processus de réorganisation structurale et électronique de la molécule comme l’ouverture ou la fermeture du cycle. Ces modifications intramoléculaires sont visibles sur le spectre d’absorption. La spirooxazine admet à l’équilibre une forme ouverte et fermée (Fig1) apportant différentes propriétés pour l’une et pour l’autre : l’une est incolore et l’autre colorée [9]. Le passage à la forme ouverte est provoqué par le clivage hétérolytique ou homolytique de la liaison C-O et est permis par l’excitation UV. Cette rupture de liaison entraîne une délocalisation des électrons π sur la molécule induisant une absorption dans le visible. Le passage à la forme fermée, quant à lui, est permis par la reformation de la liaison simple C-O de l'oxazine par lumière visible [10].

Le processus énergétique du photochromisme

Ce phénomène se traduit par la transformation réversible sous l’irradiation UV de la forme fermée de la spirooxazine en merocyanine en passant par trois isomères colorés (absorbant à 400<λ<460 nm)[11]. La phototransformation passe par des états transitoires qui ne sont pas observés expérimentalement. L'excitation lumineuse de la spirooxazine permet la formation de l’intermédiaire réactionnel cisoïde puis de l’état excité Sn. Par la suite, la relaxation spontanée de l’état excité Sn conduit de manière compétitive vers deux espèces dites transitoires (A et B sur la Fig2) menant respectivement à l’état fondamental initial (forme fermée) et à l’état fondamental de la forme ouverte (merocyanine). La coloration vient des isomères formés lors des états transitoires au cours de la relaxation formant la merocyanine. L’énergie apportée au photochrome par excitation UV va être dissipée par deux voies compétitives conduisant à la formation de la merocyanine ou vers l’état fondamental de la spirooxazine[12].

L’effet des intéractions isomères transitoires-solvants formés après photoexcitation


Des mesures ont été faites à plusieurs longueurs d’onde (400<λ<460 nm) pour les composés spirooxazines (SP1, SP2 et SP3) dans des solvants organiques polaires ou apolaires. Les signaux d’absorption transitoires observés en picosecondes, peuvent être attribués à la formation des isomères de merocyanine à l'état fondamental. Par contre, l'absorption de l'espèce cisoïde n’est pas détectée[13]. Les isomères sont directement formés à partir de l'état excité (Sn) et restent inchangés pendant quelques nanosecondes quel que soit le solvant. On observe deux isomères de merocyanine. Un encombrement stérique substantiel se produit entre l'un des atomes d'hydrogène du naphtalène et l'hydrogène du groupe CH=N qui relie les deux systèmes cycliques (Fig3), provoquant une différence d’énergie entre deux isomères. Il est donc raisonnable d'anticiper qu’il existe un nombre limité d'isomères de merocyanine. On observe ces deux isomères parce qu'ils peuvent être facilement formés pendant le photochromisme.

Dans les spirooxazines SP1 et SP2 qui ont le même groupe Z, mais un groupe R différent, on mesure presque le même spectre Raman. Pour le SP3 qui a un autre groupe Z, on observe une légère différence pour son spectre : les bandes ne sont pas significativement affectées par les changements structuraux, la région de conjugaison étant bien séparée de R et Z. Les bandes communes aux spectres de ces molécules peuvent être attribuées au C=N, C-C et C=C situé entre les atomes d’azote. La formation d’un ou des isomères de merocyanine sous-jacents au photochromisme de la spirooxazine est contrôlée par des interactions solvant-spirooxazine : soit se retrouvent dans les états fondamentaux avant l'excitation optique, soit se produisent par le biais d'interactions avec les états d’excitation polaires formés au début de la photoexcitation. Cette polarité est créée par la différence de charge entre l’atome d’azote et l’atome d'oxygène qui est induite immédiatement après le clivage de la liaison C-O[11],[14],[15]. Cette interaction est considérée comme un facteur déterminant de la voie de la photoréaction des spirooxazines et par conséquent la distribution des isomères de merocyanine formés[15].

Phénomène d’absorption dans le visible

Il se caractérise par l’interaction d’une molécule avec un rayonnement électromagnétique: c’est la possibilité de modifier la structure d’une molécule en faisant varier son énergie. Soit un système atomique avec deux niveaux énergétiques E1 et E2, si le rayonnement électromagnétique apporte la quantité exacte d’énergie ΔE permettant de passer de E1 à E2, on parle d’absorption . A l’inverse, le passage de E2 à E1, est une émission où le système va céder de l’énergie[16].

L’étude par spectroscopie d’absorption via l’utilisation d’un spectrophotomètre permet d’obtenir des informations sur la structure électronique de la spirooxazine colorée. Pour cela, on soumet une onde lumineuse d’intensité I0 à la molécule qui est absorbée et conduit à l’intensité transmise I, inférieure à I0. Le rapport de ces deux intensités est établi et permet de déterminer l'absorbance de notre molécule via un spectre d’UV Visible[16] : la bande est caractérisée par une longueur d’onde maximale, λmax en nm, et par un coefficient d'extinction molaire en L.mol-1.cm-1. Ce paramètre décrit “la colorabilité” de la spirooxazine. En solution, lorsque l’on émet de la lumière UV, la spirooxazine devient bleue et l’équilibre se déplace vers la forme ouverte qui absorbe autour de 600 nm [10].

Influence du solvant

La colorabilité de la spironaphthoxazine, une molécule appartenant à la famille des spirooxazines, dépend des caractéristiques du solvant (acidité, polarité). Dans le domaine visible, la spironaphthoxazine (Fig5), absorbe faiblement selon le solvant utilisé[17]. Cela traduit son faible caractère coloré.

Dans un solvant non acide, elle n’absorbe pas dans le domaine visible, témoignant de son caractère incolore. Lorsqu’elle est dans un solvant acide, elle absorbe faiblement et, à long terme, elle n'absorbe plus[17]. La spironaphthoxazine perd alors son caractère photochromique. La différence entre les solvants vient de leur polarité et de l’effet de la liaison hydrogène sur la spirooxazine. Dans les solvants polaires aprotiques, les molécules de la spirooxazine changent de géométrie et se transforment en une espèce non plane, par le clivage de la liaison C-O dans l’oxazine (colorée). Dans les solvants polaires protiques, la spirooxazine forme la merocyanine en s’excitant[11].

Influence de la source lumineuse

La merocyanine émet une large bande d'absorption dans le visible traduisant son caractère coloré. Elle peut repasser à la forme fermée, par irradiation à la lumière visible ou par chauffage, c’est un phénomène réversible[18]. Sous irradiation de la lumière UV, la molécule adopte la forme colorée et émet une bande d'absorption aux alentours de 615 nm. Sous lumière visible, aucune bande n’est observée dans le visible : c’est l’isomère fermé et incolore qui est formé. Cela indique que la photoisomérisation est réversible selon la source émettrice de lumière et lorsque la spironaphtoxazine est dans l’obscurité, l’équilibre de la réaction va revenir progressivement à celui initialement établi[18].

Influence des différents substituants

Les différents substituants ajoutés au squelette de la spirooxazine influencent sa colorabilité: elle dépend de leur nature (nitriles, aldéhyde, pipéridine) et de leur position. Ce phénomène se traduit par une variation des spectres d'absorption transitoire[12].

Synthèse[19],[20],[21]

La spirooxazine a été synthétisée pour la première fois en 1970[10]. Elle peut être synthétisée à partir d’un naphtol selon la voie de synthèse ci-dessous.

Applications

Verres et lentilles [22]

L’une des applications connues concerne le domaine de l’optique ophtalmique (production des lentilles et verres de lunettes). Grâce à leur propriété photochromique, elles peuvent filtrer les radiations lumineuses selon leur intensité et ainsi protéger les yeux des rayons UV. Ces composés peuvent être incorporés dans des matières organiques et sont capables de conférer des propriétés d’assombrissement et d'éclaircissement rapides. Lorsqu’ils sont exposés à la lumière, ils changent de couleur en une teinte plus foncée, puis retrouvent leur couleur initiale lorsque l’exposition lumineuse disparait. À l’état naturel, ils sont incolores, mais sur une très large gamme de température (0 à 40°C), ils présentent une cinétique rapide de coloration et de changement de couleur. Les spirooxazines ont la particularité de présenter une forte colorabilité, en particulier dans le rouge, utile pour l’optique ophtalmique. Ils peuvent être utilisés en complément avec d'autres photochromes donnant la couleur bleue afin d’obtenir une coloration naturelle lors de l’exposition à la lumière. Ainsi, sous leur forme colorée, un effet hypsochrome au niveau de l’absorption de la lumière est observé. De plus, certains spirooxazines présentent une couleur résultant d'une bande d'absorption large dans le visible. L'utilisation de ces molécules en ophtalmologie permet donc de réduire le nombre de photochromes de nature différente à utiliser pour obtenir les teintes caractéristiques des verres photochromiques. Il a été démontré que les spirooxazines avaient une durée de vie supérieure à celle d’autres photochromes.

Fluorescence [8]

Diverses approches existent pour créer des matériaux multifonctionnels à base de spirooxazines. Le principe le plus étudié est le transfert d'énergie par résonance de fluorescence entre les molécules fluorescentes et la forme ouverte des spirooxazines. Ce phénomène est efficace lorsque les spectres d'émission des molécules fluorescentes se superposent avec les spectres d'absorption des formes ouvertes de spirooxazines. L'introduction de spirooxazines dans la construction de systèmes de transfert d'énergie peut régler la fluorescence de l'ensemble du système et peut également être utilisée pour différents types de détection chimique. La forme ouverte émet toujours de la fluorescence lorsqu'elle est excitée par une lumière appropriée. Ainsi, sans les combiner avec d'autres composants fluorescents, les spirooxazines peuvent être utilisées dans des essais de détection chimique basés sur le changement de leur propre fluorescence. Lorsque différents ions métalliques sont ajoutés à une solution de spirooxazines et d'éthanol, les spectres d'absorption et de fluorescence sont différents. Sous irradiation de la lumière UV-visible, les complexes de spirooxazines et de différents ions métalliques présentent divers signaux fluorescents, tels qu'une augmentation de la fluorescence ou un déplacement des spectres de fluorescence. Cela a conduit à la conception de micropuces utilisant des spirooxazines comme capteurs, permettant de détecter plusieurs ions métalliques par l'analyse des signaux de fluorescence.

Références

  1. Masse molaire calculée d’après « Atomic weights of the elements 2007 », sur www.chem.qmul.ac.uk.
  2. D Eloy, C Gay et P Jardon, « Étude sur le mécanisme de la photodégradation d’une spirooxazine Effets du solvant, de l’oxygène, du DABCO et de la photosensibilisation », Journal de Chimie Physique, vol. 94, , p. 683–697 (ISSN 0021-7689, DOI 10.1051/jcp/1997940683, lire en ligne, consulté le )
  3. Vladimir A. Lokshin, Andre Samat et Anatolii V. Metelitsa, « Spirooxazines: synthesis, structure, spectral and photochromic properties », Russian Chemical Reviews, vol. 71, no 11, , p. 893–916 (ISSN 1468-4837, DOI 10.1070/RC2002v071n11ABEH000763, lire en ligne, consulté le )
  4. Hongyan Xia, Kang Xie et Gang Zou, « Advances in Spiropyrans/Spirooxazines and Applications Based on Fluorescence Resonance Energy Transfer (FRET) with Fluorescent Materials », Molecules : A Journal of Synthetic Chemistry and Natural Product Chemistry, vol. 22, no 12, , p. 2236 (ISSN 1420-3049, PMID 29258220, PMCID PMC6149790, DOI 10.3390/molecules22122236, lire en ligne, consulté le )
  5. Serguei O. Besugliy, Anatoly V. Metelitsa, Valerii Z. Shirinian, Mikhail M. Krayushkin, Denis M. Nikalin et Vladimir I. Minkin, « Novel photochromic spirocyclic compounds of thienopyrroline series: 2. Spirooxazines », Journal of Photochemistry and Photobiology A: Chemistry, vol. 206, nos 2-3, , p. 116–123 (ISSN 1010-6030, DOI 10.1016/j.jphotochem.2009.05.025, lire en ligne, consulté le )
  6. 1 2 « 0-306-46911-1_3.pdf ». Consulté le 23 mars 2023. https://link-springer-com.ezproxy.u-paris.fr/content/pdf/10.1007/0-306-46911-1_3?pdf=chapter%20toc.
  7. Meng, Xianle, Weihong Zhu, Zhiqian Guo, Junqing Wang, et He Tian. « Highly Stable and Fluorescent Switching Spirooxazines ». Tetrahedron 62, nᵒ 42 (16 octobre 2006): 9840‑45. https://doi.org/10.1016/j.tet.2006.08.039.
  8. 1 2 Xia, Hongyan, Kang Xie, et Gang Zou. « Advances in Spiropyrans/Spirooxazines and Applications Based on Fluorescence Resonance Energy Transfer (FRET) with Fluorescent Materials ». Molecules : A Journal of Synthetic Chemistry and Natural Product Chemistry 22, nᵒ 12 (18 décembre 2017): 2236. https://doi.org/10.3390/molecules22122236.
  9. Baptiste Moine, Stéphane Aloïse, Guy Buntinx, Olivier Poizat et Vladimir Lokshin, « La photoréactivité de photochromes organiques en solution », l'actualité chimique, vol. 320-321, , p. 20–26
  10. 1 2 3 Shuichi Maeda, Organic Photochromic and Thermochromic Compounds, vol. Vol.1, New York, Plenum Press, , John C. Crano and Robert Guglielmetti éd., 85 p., « Spirooxazines »
  11. 1 2 3 Hiromasa Nishikiori, Nobuaki Tanaka, Katsuhiko Takagi et Tsuneo Fujii, « Solvent effect on fluorescence spectra of a spirooxazine », Research on Chemical Intermediates, vol. 29, no 5, , p. 485–493 (ISSN 0922-6168, DOI 10.1163/156856703322149026, lire en ligne, consulté le )
  12. 1 2 Baptiste Moine, Stéphane Aloïse, Guy Buntinx, Olivier Poizat et Vladimir Lokshin, « La photoréactivité de photochromes organiques en solution », l'actualité chimique, vol. 320-321, , p. 20–26
  13. « Verres photochromiques », sur ac-montpellier.fr (consulté le ).
  14. « Verres photochromiques » (consulté le )
  15. 1 2 S. Aramaki et G. H. Atkinson, « Spirooxazine photochromism: picosecond time-resolved Raman and absorption spectroscopy », Chemical Physics Letters, vol. 170, no 2, , p. 181–186 (ISSN 0009-2614, DOI 10.1016/0009-2614(90)87112-5, lire en ligne, consulté le )
  16. 1 2 « Introduction à la spectroscopie UV-Visible », sur CultureSciences-Chimie (consulté le )
  17. 1 2 L S Koltsova, N L Zaichenko, A I Shiyonok et V S Marevtsev, « Merocyanine form of photochromic spirooxazines in acid solutions », Macromolecules, vol. 50, no 7, , p. 7073–7081
  18. 1 2 Keiichi Kimura, Masayuki Kaneshige, Takashi Yamashita et Masaaki Yokoyama, « Cation Complexation, Photochromism, and Reversible Ion-Conducting Control of Crowned Spironaphthoxazine », The Journal of Organic Chemistry, vol. 59, no 6, , p. 1251–1256 (ISSN 0024-9297, DOI 10.1021/jo00085a009, lire en ligne, consulté le )
  19. Qi Zou, Xin Li, Ji Zhou, Kangkang Bai et Hans Ågren, « Synthesis and photochromism of a spirooxazine derivative featuring a carbazole moiety: Fast thermal bleaching and excellent fatigue resistance », Dyes and Pigments, vol. 107, , p. 174–181 (ISSN 0143-7208, DOI 10.1016/j.dyepig.2014.04.004, lire en ligne, consulté le )
  20. Haitao Sun, Xiaohui Tian, Jochen Autschbach, Yizhong Yuan, Jinyu Sun, Xin Liu, Chuan Chen et Huijun Cao, « Spirooxazine-based multifunctional molecular switches with tunable photochromism and nonlinear optical response », Journal of Materials Chemistry C, vol. 1, no 36, , p. 5779 (ISSN 2050-7534, DOI 10.1039/c3tc31131g, lire en ligne, consulté le )
  21. Sung-Hoon Kim, Sung-Wook Choi, Hee-Jung Suh, Sung-Ho Jin, Yeong-Soon Gal et Kwangnak Koh, « Surface plasmon resonance spectroscopy on the interaction of a self-assembled monolayer with linear hydrocarbon such as pentane, hexane, heptane and octane », Dyes and Pigments, vol. 55, no 1, , p. 17–25 (ISSN 0143-7208, DOI 10.1016/S0143-7208(02)00054-2, lire en ligne, consulté le )
  22. Guglielmetti, Robert, André Samat, et Pierre Laregnie. Spirooxazines et leur utilisation dans des lentilles opthalmiques. European Union EP0653428A1, filed 16 novembre 1994, et issued 17 mai 1995. https://patents.google.com/patent/EP0653428A1/fr.
  • icône décorative Portail de la chimie