Transformée de Park
La transformée de Park, souvent confondue avec la transformée dqo, est un outil mathématique utilisé en électrotechnique, pour l'étude des moteurs alternatifs en régime dynamique et aussi pour la commande vectorielle. Il s'agit d'un changement de variables des grandeurs triphasées originales (a, b, c) vers trois nouvelles grandeurs traditionnellement nommées (d, q, o).
Les grandeurs transformées sont généralement des courants, des tensions ou des flux.
Ce changement de variables est paramétré par l'angle de Park ( on parle aussi d'orientation du repère de Park ). Dans le cas d'une machine asynchrone, et suivant la finalité, le repère de Park peut être classiquement :
- fixe par rapport au stator,
- fixe par rapport au rotor,
- aligné sur la composante d des flux statoriques ou des flux rotoriques.
Dans le cas d'une machine synchrone, dans le repère de Park fixe par rapport au rotor, les courants, les tensions ou les flux statoriques (d, q, o) ont la propriété remarquable d'être continus en régime permanent.
Une autre propriété intéressante de la transformation de Park est qu'elle simplifie l'écriture de la matrice des inductances des machines synchrones ou asynchrones :
- les inductances mutuelles stator-rotor entre les flux (d, q, o) et les courants (d, q, o) sont constantes (elles ne dépendent pas de la position mécanique),
- il n'y a pas d'inductances mutuelles entre les grandeurs d'"axes" d et q.
Transformée de Park
Robert H. Park (en) a proposé pour la première fois la transformée éponyme en 1929. En 2000, cet article a été classé comme étant la deuxième publication ayant eu le plus d'influence dans le monde de l'électronique de puissance au XXe siècle[1].
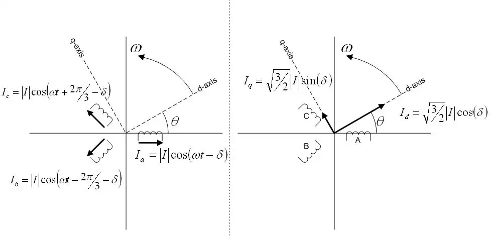
Soit (a,b,c) le repère initial d'un système triphasé, (d,q,o) le repère d'arrivée. À titre d'exemple, la transformation est réalisée sur un courant, mais on peut l'utiliser pour transformer des tensions et des flux. La transformation matricielle associée au changement de repère est[2] :
et la transformation inverse (via la matrice inverse) :
La transformée de Park n'est pas unitaire. La puissance calculée dans le nouveau système n'est pas égale à celle dans le système initial[3].
Transformée dqo
La transformée dqo est très similaire à la transformée de Park, et elles sont souvent confondues dans la littérature. « dqo » veut dire « direct–quadrature–zero ». À la différence de la transformée de Park, elle conserve les valeurs des puissances. La transformation de changement de repère est[3] :
La transformation inverse est :
La transformée dqo donne une composante homopolaire, égale à celle de Park multipliée par un facteur .
Principe
La transformée dqo permet dans un système triphasé équilibré de transformer trois quantités alternatives en deux quantités continues. Cela simplifie considérablement la résolution d'équations. Une fois la solution calculée, la transformation inverse est utilisée pour retrouver les grandeurs triphasées correspondantes.
La transformée de Park reprend les principes de la transformée de Clarke, mais la pousse plus loin. Considérons un système de trois courants triphasés équilibrés :
Où est la valeur effective du courant et l'angle. On pourrait tout aussi bien remplacer par sans perte de généralité. En appliquant la transformation de Clarke, on obtient :
La transformée de Park vise à supprimer le caractère oscillatoire de et en effectuant une rotation supplémentaire d'angle par rapport à l'axe o.
L'idée est de faire tourner le repère à la vitesse du rotor de la machine tournante. Le repère de Clarke est fixé au stator , tandis que celui de Park est fixé au rotor. Cela permet de simplifier certaines équations électromagnétiques.
Interprétation géométrique
Géométriquement la transformation de Park est une combinaison de rotations. En partant d'un espace en trois dimensions ayant pour axes orthogonaux a, b, et c.

Une rotation d'axe a d'angle -45° est effectuée. La matrice de rotation est :
soit
On obtient donc le nouveau repère :

Une rotation d'axe b' et d'angle environ 35.26° () est ensuite effectué :
soit

La composition de ces deux rotations a pour matrice :
Cette matrice est appelée matrice de Clarke (même s'il s'agit en réalité de la matrice de Concordia[citation nécessaire], similaire à celle de Clarke à la différence qu'elle est unitaire).
Les axes sont renommés α, β, et z (noté o dans le reste de l'article). L'axe z est à égales distances des trois axes initiaux a, b, et c (c'est la bissectrice des 3 axes ou une diagonale du cube unitaire). Si le système initial est équilibré, la composante en z est nulle, et le système est simplifié.
À partir de la transformée de Clarke, une rotation supplémentaire d'axe z et d'angle est effectuée.
La matrice obtenue en multipliant la matrice de Clarke à la matrice de rotation est celle de la transformée dqo :
Le repère tourne à la vitesse . Les axes du nouveau repère sont appelés d, pour direct, et q pour quadrature.


Dans le cas des machines synchrones, la transformée dqo a la propriété remarquable de rendre constantes les inductances dans le temps[1].
Application
La transformation dqo est très utilisée pour résoudre des problèmes liés aux machines synchrones et aux onduleurs triphasés.
Références
- 1 2 (en) G. T. Heydt,, S. S. Venkata et N. Balijepalli, « High Impact Papers in Power Engineering, 1900-1999 », North American Power Symposium (NAPS) 2000, , p. 1-7.
- ↑ (en) R.H. Park, « Two Reaction Theory of Synchronous Machines », AIEE Transactions, no 48, , p. 716-730.
- 1 2 (en) P. M. Anderson et A. A. Fouad, Power System Control and Stability, IEEE Press, , 672 p. (ISBN 978-81-265-1818-0)
Voir aussi
Transformation des systèmes triphasés
- Portail de l’électricité et de l’électronique
- Portail des mathématiques