ADP
: adp
Conventions internationales
Étymologie
- Du code ISO 3166-1 AD et de peseta.
Symbole
ADP invariable
Voir aussi
- peseta andorrane sur l’encyclopédie Wikipédia

Français
Étymologie
- (Sigle) Sigle de adénosine diphosphate.
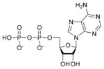
Nom commun

Molécule d’ADP.
ADP \a de pe\ féminin invariable
- (Biochimie, Chimie) Sigle de l’adénosine diphosphate, molécule intervenant couramment dans les organismes vivants pour permettre des échanges d’énergie.
Vocabulaire apparenté par le sens
Prononciation
- La prononciation \a de pe\ rime avec les mots qui finissent en \pe\.
- France (Vosges) : écouter « ADP [Prononciation ?] »
Voir aussi
- ADP sur l’encyclopédie Wikipédia

Anglais
| Cette entrée est considérée comme une ébauche à compléter en anglais. Si vous possédez quelques connaissances sur le sujet, vous pouvez les partager en modifiant dès à présent cette page (en cliquant sur le lien « modifier le wikicode »). |
Étymologie
- Étymologie manquante ou incomplète. Si vous la connaissez, vous pouvez l’ajouter en cliquant ici.
Cet article est issu de Wiktionary. Le texte est sous licence Creative Commons – Attribution – Partage à l’identique. Des conditions supplémentaires peuvent s’appliquer aux fichiers multimédias.