héparine
: hépariné
Français
Nom commun
| Singulier | Pluriel |
|---|---|
| héparine | héparines |
| \e.pa.ʁin\ | |

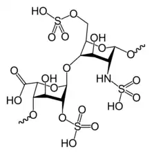
Structure de l’héparine.
héparine \e.pa.ʁin\ féminin
- (Biochimie) (Pharmacologie) Famille de molécule de la famille des glycosaminoglycanes, de formule brute C12H19NO20S3. C’est un anticoagulant naturel puissant utilisé notamment pour son action sur la thrombose.
Les chercheurs ont en effet observé que l’administration d’héparine dans les premières 24 heures à la suite de l’admission était associée à une diminution de 27 % du risque de mortalité dans le mois suivant l’hospitalisation.
— (Richard Béliveau, COVID-19: les anticoagulants qui sauvent des vies, Le Journal de Québec, 22 février 2021)Les effets perméabilisants qui accompagnent les réactions anaphylactiques cutanées ne sont pas modifiés par l’héparine.
— (Archives Internationales de Pharmacodynamie et de Thérapie, 1957, page 36)L’héparine utilisée par voie topique est un anti-inflammatoire et un antiœdémateux.
— (site www.sante.fr)
Dérivés
- hépariné
- hépariner
- héparinisation
- héparinoïde
Hyperonymes
Hyponymes
- acide glucuronique
- acide iduronique
- glucosamine
Prononciation
- France (Lyon) : écouter « héparine [Prononciation ?] »
Voir aussi
- héparine sur l’encyclopédie Wikipédia

Cet article est issu de Wiktionary. Le texte est sous licence Creative Commons – Attribution – Partage à l’identique. Des conditions supplémentaires peuvent s’appliquer aux fichiers multimédias.