table de mortalité
Français
Locution nominale
| Singulier | Pluriel |
|---|---|
| table de mortalité | tables de mortalité |
| \tabl də mɔʁ.ta.li.te\ | |

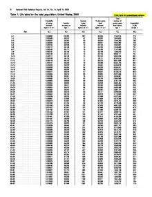
Une table de mortalité
table de mortalité \tabl də mɔʁ.ta.li.te\ féminin
- (Démographie, Statistiques) Construction statistique qui permet de suivre le destin d’une population afin d’étudier le nombre de décès, les probabilités de décès ou de survie.
Les tables de mortalité sont utilisées par les organismes d’assurance-vie pour le calcul du taux de conversion du capital en rente viagère.
— (Assurance-vie : les tables de mortalité sur billetdebanque.panorabanques.com, 08 décembre 2015)
Traductions
- Croate : tabela mortaliteta (hr)
- Italien : tavola di mortalità (it) féminin
Voir aussi
- table de mortalité sur l’encyclopédie Wikipédia

Cet article est issu de Wiktionary. Le texte est sous licence Creative Commons – Attribution – Partage à l’identique. Des conditions supplémentaires peuvent s’appliquer aux fichiers multimédias.