ubiquinone
Français
Étymologie
- Étymologie manquante ou incomplète. Si vous la connaissez, vous pouvez l’ajouter en cliquant ici.
Nom commun
| Singulier | Pluriel |
|---|---|
| ubiquinone | ubiquinones |
| \y.bi.ki.nɔn\ | |
ubiquinone \y.bi.ki.nɔn\ féminin

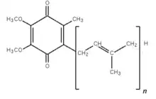
Schémat général de la structure d'une ubiquinone.
- (Biochimie)(Chimie) Groupe de molécules de la famille des benzoquinones qui se caractérisent par un nombre d'unités isoprènes compris entre 6 et 10. Elles jouent le rôle de transporteur d'électrons en particulier dans les mitochondries (cycle de Krebs).
- Exemple d’utilisation manquant. (Ajouter)
Synonymes
- coenzyme Q (généralement suivi d'un nombre entre 6 et 10 indiquant le nombre d'unité isoprène, par exemple coenzyme Q10.)
Traductions
Cet article est issu de Wiktionary. Le texte est sous licence Creative Commons – Attribution – Partage à l’identique. Des conditions supplémentaires peuvent s’appliquer aux fichiers multimédias.