(2,2,6,6-Tétraméthylpipéridin-1-yl)oxy
Le (2,2,6,6-tétraméthylpipéridin-1-yl)oxy ou (2,2,6,6-tétraméthylpipéridin-1-yl)oxyl ou TEMPO est un composé organique de formule (CH2)3(CMe2)2NO•. Ce composé hétérocyclique est un solide rouge-orangé sublimable. C'est un radical stable à CNTP qui a été découvert en 1960 par O. L. Lebedev et S. N. Kazarnovski[5] et qui a des applications en tant que tel en chimie et biochimie[6]. Il est largement utilisé comme marqueur radicalaire, comme sonde de structure de systèmes biologiques, en vue d'analyse par spectroscopie RPE, comme réactif en synthèse organique et comme médiateur dans des polymérisations radicalaires contrôlées[7].
| (2,2,6,6-Tétraméthylpipéridin-1-yl)oxy | |||
| |||
| Identification | |||
|---|---|---|---|
| Nom UICPA | 1-λ1-oxidanyl-2,2,6,6-tétraméthylpipéridine | ||
| Synonymes |
TEMPO, tanane, 2,2,6,6-tétraméthyl-1-pipéridinyloxyl, 2,2,6,6-tétraméthylpipéridine 1-oxyl |
||
| No CAS | |||
| No ECHA | 100.018.081 | ||
| No CE | 219-888-8 | ||
| No RTECS | TN8991900 | ||
| PubChem | 2724126 | ||
| ChEBI | 32849 | ||
| SMILES | |||
| InChI | |||
| Apparence | solide rouge-orangé sublimable | ||
| Propriétés chimiques | |||
| Formule | C9H18NO [Isomères] |
||
| Masse molaire[1] | 156,245 3 ± 0,009 g/mol C 69,18 %, H 11,61 %, N 8,96 %, O 10,24 %, |
||
| Propriétés physiques | |||
| T° fusion | 36 à 38 °C[2],[3] | ||
| T° ébullition | ~ 175 °C (décomp.)[3] | ||
| Solubilité | eau : 9,7 g·l-1 à 20 °C[3] | ||
| Masse volumique | 0,91 g·cm-3[3] | ||
| Point d’éclair | 67 °C[2] | ||
| Pression de vapeur saturante | 0,4 hPa à 20 °C[3] | ||
| Précautions | |||
| SGH[2] | |||
![]() |
|||
| Transport[2] | |||
|
|||
| Écotoxicologie | |||
| LogP | (octanol/eau) 1,85[4] | ||
| Unités du SI et CNTP, sauf indication contraire. | |||
Le TEMPO est préparé par oxydation de la 2,2,6,6-tétraméthylpipéridine.
La stabilité de ce radical est attribuée à la résonance fournie par les électrons non liants sur l'atome d'azote (doublets libres) qui forment une liaison et demie (deux centres, trois électrons) entre l'azote et l'oxygène, et des phénomènes d'hyperconjugaison. De la stabilité supplémentaire est apportée par la protection stérique fournie par les quatre groupes méthyle adjacents au groupe nitroxyle. Cependant, les groupes méthyle empêchent surtout la formation d'une double liaison entre l'un ou l'autre des atomes de carbone adjacent à l'azote[8]. La stabilité du radical est également indiquée par la faiblesse de la liaison O–H du dérivé hydrogéné TEMPO-H. Avec une énergie de dissociation de cette liaison de l'ordre de 70 kcal/mol, celle-ci est environ 30 % plus faible que la liaison O–H typique[9].
Usage en synthèse organique
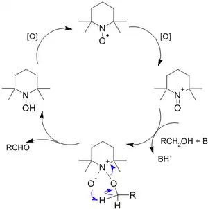
Le TEMPO est utilisé en synthèse organique comme catalyseur pour l'oxydation d'alcools primaires en aldéhydes et d'alcools secondaires en cétones. L'oxydant effectif est le cation N-oxoammonium issu de l'oxydation du TEMPO par un co-oxydant (par exemple l'acide hypochloreux présent dans une solution d'hypochlorite de sodium) consommé en quantité stœchiométrique. L'ensemble du processus d'oxydation réalise un cycle catalytique. Le schéma suivant illustre la situation dans le cas de l'oxydation d'un alcool primaire en milieu fortement basique :

Selon les conditions expérimentales (notamment la présence d'une catalyse par transfert de phase) l'oxydation des alcools primaires peut conduire aux aldéhydes ou aux acides carboxyliques et il peut exister ou non une chimiosélectivité vis-à-vis des alcools secondaires[10]. Typiquement l'oxydation par le TEMPO du S-(-)-2-méthyl-1-butanol fournit le S-(+)-2-méthylbutanal alors que dans des conditions légèrement différentes (chlorite de sodium NaClO2 en quantité stœchiométrique) le 4-méthoxyphényléthanol est oxydé directement en acide carboxylique[11].
Lorsque le(s) co-oxydant(s) provoquent des réactions indésirables sur le substrat ou sur la cible, il peut être nécessaire d'employer le TEMPO (ou l'un de ses dérivés) en quantité stœchiométrique. Dans ce cas l'oxydation du réactif est réalisée séparément lors d'une étape préalable. Par exemple une oxydation du géraniol en géranial par le 4-acétamido-TEMPO va nécessiter l'oxydation préalable de celui-ci en tétrafluoroborate du cation N-oxoammonium correspondant[12].
Le TEMPO peut également être utilisé dans la polymérisation radicalaire à médiation par nitroxyde (NMP), une technique contrôlée de polymérisation par radicaux qui permet un meilleur contrôle de la distribution de la masse moléculaire du produit final. Le radical TEMPO peut être ajouté à la fin d'une chaîne de polymère en croissance, ce qui crée une chaîne « dormante » dont la polymérisation s'arrête. Cependant, le lien entre la chaîne de polymère et TEMPO est faible et il peut être rompu par chauffage, ce qui permet ensuite à la polymérisation de se poursuivre. Ainsi, le chimiste peut contrôler le degré de polymérisation et également synthétiser des chaînes de polymère à distribution étroite.
Application industrielle
Le TEMPO lui-même est relativement assez coûteux[2], mais il existe des dérivés du TEMPO qui sont plus souvent utilisés en industrie, tels que le 4-hydroxy-TEMPO (TEMPOL)[13] ou le 4-acétamido-TEMPO, parce qu'ils sont dérivés de précurseurs moins chers. Des exemples d'utilisation de TEMPO dans l'industrie sont la conversion du bisnoralcool (un stéroïde) en bisnoraldéhyde par Upjohn (en) ou la conversion du rétinol en rétinal chez Novartis.
Un procédé industriel emploie en tant que co-oxydant des clusters H5PV2Mo10O40 dont la forme réduite peut être ré-oxydée par l'oxygène atmosphérique. Des catalyseurs de polymérisation supportée par TEMPO sont également disponibles commercialement[14].
Notes et références
- (en) Cet article est partiellement ou en totalité issu de l’article de Wikipédia en anglais intitulé « TEMPO » (voir la liste des auteurs).
- Masse molaire calculée d’après « Atomic weights of the elements 2007 », sur www.chem.qmul.ac.uk.
- Fiche Sigma-Aldrich du composé TEMPO purified by sublimation, 99 %, consultée le 23 octobre 2014.
- [PDF] 2,2,6,6-Tetramethylpiperidinyloxyl, Merck KGaA, consulté le 23 octobre 2014.
- (en) « (2,2,6,6-Tétraméthylpipéridin-1-yl)oxy », sur ChemIDplus.
- O. L. Lebedev, S. N. Kazarnovskii, Zhur. Obshch. Khim., 1960, vol. 30(5), p. 1631–1635.
- S. Barriga, 2,2,6,6-Tetramethylpiperidine-1-oxyl (TEMPO), Synlett, 2001, vol. 2001(4), p. 563. DOI 10.1055/s-2001-12332.
- F. Montanari, S. Quici, H. Henry-Riyad, T. T. Tidwell, 2,2,6,6-Tetramethylpiperidin-1-oxyl, Encyclopedia of Reagents for Organic Synthesis, John Wiley & Sons, 2005. DOI 10.1002/047084289X.rt069.pub2.
- A. L. Zanocco, A. Y. Canetem, M. X. Melendez, A Kinetic Study of the Reaction between 2-p-methoxyphenyl-4-phenyl-2-oxazolin-5-one and 2,2,6,6-Tetramethyl-1-piperidinyl-n-oxide, Boletín de la Sociedad Chilena de Química, 2000, vol. 45(1), p. 123–129. DOI 10.4067/S0366-16442000000100016.
- C. Galli, Nitroxyl radicals: Chemistry of Hydroxylamines, Oximes and Hydroxamic Acids, 2009, 2, John Wiley & Sons, p. 705–750 (ISBN 978-0-470-51261-6), (LCCN 2008046989 2008046989).
- P. L. Anelli, F. Montanari, S. Quici, A General Synthetic Method for the Oxidation of Primary Alcohols to Aldehydes: (S)-(+)-2-Methylbutanal, Org. Synth., 1990, vol. 69, p. 212 ; coll. vol. 8, p. 367.
- M. M. Zhao, J. Li, E. Mano, Z. J. Song, D. M. Tschaen, Oxidation of Primary Alcohols to Carboxylic Acids with Sodium Chlorite catalyzed by TEMPO and Bleach: 4-Methoxyphenylacetic Acid, Org. Synth., 2005, vol. 81, p. 195.
- J. M. Bobbitt, N. Merbouh, 2,6-Octadienal, 3,7-dimethyl-, (2E)-, Org. Synth., vol. 82, p. 80.
- Fiche Sigma-Aldrich du composé 4-Hydroxy-TEMPO 97 %, consultée le 23 octobre 2014.
- R. Ciriminna, M. Pagliaro, Industrial Oxidations with Organocatalyst TEMPO and Its Derivatives, Organic Process Research & Development, 2010, vol. 14(1), p. 245–251. DOI 10.1021/op900059x.
- Portail de la chimie


