Acide phtalamique
L'acide phtalamique est un composé organique aromatique de formule chimique C8H7NO3, constitué d'un cycle benzénique substitué par un groupe carboxyle et un groupe formamide en position ortho, dans une structure ainsi identique à celle de l'acide phtalique.
| Acide phtalamique | |
| |
| Formule topologique de l'acide phtalamique. | |
| Identification | |
|---|---|
| Nom UICPA | Acide-2-carbamoylbenzoïque |
| No CAS | |
| No CE | 207-618-1 |
| PubChem | 6957 |
| ChEBI | 50736 |
| Apparence | solide, poudre blanche |
| Propriétés chimiques | |
| Formule | C8H7NO3 |
| Masse molaire[1] | 165,146 1 ± 0,008 g/mol C 58,18 %, H 4,27 %, N 8,48 %, O 29,06 %, |
| Propriétés physiques | |
| T° fusion | 140 à 143 °C[2] |
| Précautions | |
| SGH[3],[2] | |
![]() Danger |
|
| Unités du SI et CNTP, sauf indication contraire. | |
Les acides phtalamiques constituent une classe de composés intéressante en raison de leur différentes applications et activités biologiques.
Synthèse
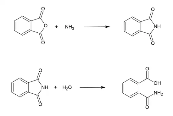
La méthode la plus couramment utilisée pour synthétiser l'acide phtalamique est la réaction de l'anhydride phtalique avec l'ammoniac[4]. Cette réaction bien établie, conduit à la formation de l'acide phtalamique comme produit principal.
Le mécanisme de cette réaction consiste en l'addition d'un ammoniac sur l'anhydride phtalique conduisant à la formation du phtalimide. Le phtalimide ainsi produit est ensuite hydrolysé, ce qui entraîne la rupture du cycle imide et la formation de l'acide phtalamique.

Pour obtenir des dérivés d'acide phtalamique, cette méthode est adaptée en substituant l'ammoniac par une amine primaire ou secondaire, permettant ainsi d'introduire différents groupes dans la molécule finale[5].
Utilisations
Régulateurs de croissance des plantes
Certains dérivés d'acides phtalamiques, tels que les acides naphtylphtalamiques, sont des inhibiteurs clé du transport directionnel de l'auxine, une hormone cruciale pour la croissance et le développement végétal[6].
Bien que le mécanisme précis derrière la perturbation du transport de l'auxine par ces dérivés ne soit pas entièrement élucidé, plusieurs modes d'action ont été proposés. Le plus probable implique la fixation des acides phtalamiques sur une famille de protéines, connues sous le nom de protéines PIN (en)[7], des protéines responsables du transport de sortie de l'auxine au niveau des membranes plasmiques. Les dérivés d'acide phtalamique semblent perturber ce transport en inhibant sélectivement l'activité de ces protéines PIN, ce qui induit une accumulation locale d'auxine, entraînant des altérations dans les schémas de développement et des réponses de croissance chez les plantes.
En raison de son rôle vital dans la croissance des plantes, la perturbation du transport de l'auxine engendre des effets physiologiques significatifs sur leur développement. Les dérivés d'acide phtalamiques sont ainsi des régulateurs de croissance précieux dans divers procédés agricoles. L'application de ces dérivés sur les tiges des plantes peut provoquer diverses réponses, notamment l'abscission, un processus essentiel dans la régulation de la croissance et de la reproduction végétale[8].
Les effets des dérivés d'acides phtalamiques sur la croissance des plantes peuvent être influencés par divers facteurs, notamment la dose, la durée d'exposition, et les conditions environnementales telles que la température, l'humidité et la qualité du sol.
Agent d'éclaircissage des arbres fruitiers

L'acide N-1-naphtylphtalamique (NPA), est un agent d'éclaircissage chimique particulièrement efficace pour les drupes, tels que les pêches[9] ou les prunes[10]. Son application aux arbres fruitiers à des moments stratégiques, notamment durant la pleine floraison, provoque le dessèchement des fleurs et leur chute de l'arbre. En éliminant les fleurs en excès sur les arbres, on minimise la compétition des fruits restants pour les ressources de l'arbre, ce qui permet d'optimiser le processus de croissance des pêches. Ce mécanisme garantit donc une production de fruits avec des tailles satisfaisants les normes de qualité exigées par le marché.
L'éclaircissement des pêches permet aussi une diminution du risque de maladies et de dommages causés par le poids excessif des fruits sur les branches , et une augmentation de la productivité à long terme de l'arbre. Toutefois, il est crucial de réguler avec précision la concentration de NPA utilisée, afin d'éviter un éclaircissage excessif et prévenir d'éventuels effets secondaires non désirés.
Biomarqueur de l'exposition aux insecticides
L'acide phtalamique est un métabolite courant de plusieurs insecticides, notamment le Folpet (plus couramment appelé Folpel en France) et le Phosmet. Une fois appliqués, ces insecticides sont dégradés par diverses processus métaboliques dont l'acide phtalamique est l'un des principaux produits de dégradation[11]. L'acide phtalamique constitue donc un biomarqueur précieux pour évaluer l'exposition à ces produits chimiques.
La détection de l'acide phtalamique dans des échantillons biologiques tels que l'urine ou le sang, repose sur des techniques analytiques telles que la chromatographie en phase liquide à haute performance[12] ou encore la chromatographie en phase gazeuse[13]. Ces méthodes offrent une grande sensibilité, permettant une quantification précise des concentrations d'acide phtalamique, même à des niveaux très faibles.
Les applications de l'acide phtalamique en tant que biomarqueur s'étendent aux domaines cliniques ainsi qu'environnementaux. Dans un contexte clinique, le suivi des niveaux d'acide phtalamique permet une détection précoce de l'exposition aux pesticides, notamment pour les travailleurs agricoles, facilitant une intervention et une gestion rapide des risques potentiels pour la santé. Dans le domaine de la surveillance environnementale, la mesure de l'acide phtalamique fournit des informations cruciales sur les niveaux de contamination par les pesticides dans les écosystèmes. L'évaluation de sa présence dans des échantillons environnementaux, tels que le sol ou l'eau, permet aux chercheurs d'évaluer l'ampleur de la pollution par les pesticides et ses impacts écologiques potentiels. Ces données peuvent orienter les pratiques agricoles durables et contribuer à la préservation de la santé environnementale.
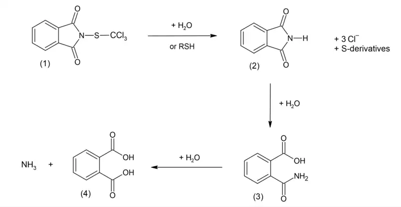
Mécanisme de dégradation du Folpet
Le Folpet est dégradé soit par hydrolyse, soit par réaction avec des thiols, en phtalimide, ce dernier se transformant rapidement par hydrolyse en acide phtalamique, puis en acide phtalique[14].

Références
- Masse molaire calculée d’après « Atomic weights of the elements 2007 », sur www.chem.qmul.ac.uk.
- Fiche Sigma-Aldrich du composé Phthalamic acid, consultée le 2024-16-04.
- Numéro index dans le tableau 3.1 de l'annexe VI du règlement CE no 1272/2008 [PDF], 16 décembre 2008.
- Ernest Chapman et Henry Stephen, « CCXXXVII.—The Preparation of Phthalamic Acids and Their Conversion into Anthranilic Acids », Journal of the Chemical Society, vol. 127, no 0, , p. 1791‑97 (DOI doi.org/10.1039/CT9252701791).
- Agnieszka Ambrożk et Michael Gütschow, « reparation of Phthalamic Acid Derivatives and Ring Closure to Phthalimidobarbituric Acids », Journal of Heterocyclic Chemistry, vol. 44, no 6, , p. 1259‑63 (DOI 10.1002/jhet.5570440606)
- William Teale et Klaus Palme, « Naphthylphthalamic Acid and the Mechanism of Polar Auxin Transport », Journal of Experimental Botany, vol. 69, no 2, , p. 303‑12 (DOI doi.org/10.1093/jxb/erx323).
- Lindy Abas et al., « Naphthylphthalamic acid associates with and inhibits PIN auxin transporters », Proceedings of the National Academy of Sciences, vol. 118, no 1, (DOI 10.1073/pnas.2020857118)
- J. W. Mitchell, P. C. Marth, et G. D. Freeman, « Terminal Growth Control, Apical Dominance in Bean Plants Controlled with Phthalamic Acid », Journal of Agricultural and Food Chemistry, vol. 13, no 4, , p. 326‑29 (DOI 10.1021/jf60140a010)
- L. J. Edgerton et M. B. Hoffman, « Effect of N-1-Naphthyl Phthalamic Acid on Fruit Set of Peaches », Science, vol. 121, no 3144, , p. 467‑68 (DOI 10.1126/science.121.3144.467)
- S. Shehata, et M. Bondok, « Regulation of fruit setting, abscission and yield of Santa Rosa plum (Prunus domestica l.) by N-phenylphthalamic acid (NPA) and dormex », Journal of Plant Production, vol. J 25, no 2, , p. 879‑90 (DOI 10.21608/jpp.2000.258568).
- Pesticide Residues in Food, 1997: Report of the Joint Meeting of the FAO Panel of Experts on Pesticide Residues in Food and the Environment and the WHO Core Assessment Group on Pesticide Residues, Lyons, France 22 Sept.-1 Oct. 1997 (Food & Agriculture Org., 1998)
- Mireille Canal-Raffin et al, « Quantification methods of folpet degradation products in plasma with HPLC-UV/DAD: Application to an in vivo toxicokinetic study in rats », Journal of Chromatography, vol. B 865, no 1, , p. 106‑13 (DOI 10.1016/j.jchromb.2008.02.011).
- Dalia M Gilvydis et Stephen M Walters, « Gas Chromatographic Determination of Captan, Folpet, and Captafol Residues in Tomatoes, Cucumbers, and Apples Using a Wide-Bore Capillary Column: Interlaboratory Study », Journal of Association of Official Analytical Chemists, vol. 74, no 5, , p. 830‑35 (DOI 10.1093/jaoac/74.5.830)
- Food and Agriculture Organization of the United Nations, « 1969 Evaluations of Some Pesticide Residues in Food : The Monographs Document, World Health Organization », consulté le 26 mars 2024, https://www.inchem.org/documents/jmpr/jmpmono/v069pr17.htm.
- Portail de la chimie

