Chiralité planaire
La chiralité planaire est une forme de chiralité ne mettant pas en jeu de centre stéréogène. À ce titre, elle est de la même famille que la chiralité axiale (chiralité hélicoïdale). Pour qu'il y ait chiralité planaire, il faut que la molécule ait une partie de ses atomes dans un plan et une autre partie en dehors du plan. Il faut également que l'arrangement des atomes dans le plan respecte certaines conditions. Pour évoquer la chiralité planaire, l'IUPAC donne l'exemple du E-cyclooctène, sans toutefois définir précisément ce type de chiralité[1]. La nomenclature de cette chiralité est pR / pS (parfois Rp / Sp) en référence à la chiralité axiale (aR / aS), ou M (pour pR) et P (pour pS) en référence à la chiralité hélicoïdale[2].
Exemples
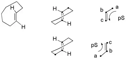
E-cyclooctène

Le E-cyclooctène répond à la définition de la chiralité planaire, il possède un plan d'atome (les atomes de la double liaison) et des atomes en dehors du plan. De plus l'image dans un miroir de cet alcène est également un E-cyclooctène, mais qui ne lui est pas superposable.
Pour indiquer la chiralité de ce E-cyclooctène, il faut se mettre du côté des atomes hors du plan et regarder le plan. Prendre l'atome prioritaire (au sens CIP) qui est lié à ce plan. Il y en a deux, et ces deux ont même priorité. Il se trouve que quel que soit celui qui est choisi, on retombe sur la même chiralité. On considère ensuite l'atome qui est lié à cet atome pilote et qui est dans le plan. S'il y en avait plusieurs, il faudrait retenir celui qui est prioritaire. C'est l'atome (a) sur la figure, puis on choisit l'atome lié à (a) et qui est prioritaire (atome b), etc. jusqu'à l'atome (c). Vue depuis l'atome pilote, les atomes a, b et c tournent dans le sens antihoraire. C'est une chiralité pS (p comme planaire) et S suivant les mêmes règles CIP pour les centres stéréogènes usuels que sont les carbones asymétriques. Avec la nomenclature des hélices, c'est un P.
Ferrocène substitué

Le plan qui doit être considéré est le cycle qui porte les substituants, et l'atome qui lui est lié est le fer. Celui-ci est lié à tous les atomes du plan. Il faut adopter un point de vue du type représentation de Newman[3]. L'atome prioritaire (au sens CIP) est (a) car il porte COOH), puis l'atome (b) lui est lié, on a le choix entre deux atomes et (b) est celui qui porte le CH3, etc. Vus de Fe, les atomes a, b, c tournent dans le sens horaire, la chiralité est donc pR, ou M avec la nomenclature des hélices. Les ferrocènes différemment substitués en positions 1,2 et 1,3 sont concernés par cette chiralité.
Historique
L'histoire de la stéréochimie remonte au XIXe siècle avec Biot (1812), Pasteur (1860), Le Bel et van 't Hoff (1874). Pour autant, il a fallu attendre 1966 avec Cahn, Ingold et Prelog pour en avoir une description détaillée. Ces auteurs ont décrit également la stéréochimie hélicoïdale (chiralité axiale) mais sans la définir. En 1968, Prelog décrivait la stéréochimie axiale (type CH3-CH=C=CH-CH3) et planaire. En 1971, les règles correspondant à ces types de stéréochimie n'étaient toujours pas prises en compte par l'IUPAC[4]. En 2011, la stéréochimie plane n'est évoquée par l'IUPAC que sur l'exemple du E-cyclooctène et aucune généralité n'est fournie.
Références
- (en) « planar chirality », IUPAC, Compendium of Chemical Terminology [« Gold Book »], Oxford, Blackwell Scientific Publications, 1997, version corrigée en ligne : (2019-), 2e éd. (ISBN 0-9678550-9-8)
- Eliel E.L. & Wilen S.H. (1994) Stereochemistry of Organic Compound, Ed Wiley-Interscience, p.1121.
- Ivan P. de Arruda Campos & Daisy de Brito Rezende (2001). On Chirality in Substituted Metallocenes Bearing Identical Substituents. J. Chem. Educ., 78 (8), p 1130. http://pubs.acs.org/doi/abs/10.1021/ed078p1130
- Guy L. Lemière et Frank C. Alderweireldt (1980).Proposition for a New Definition of the Chiral Plane and Its Consequences for the Specification of Planar Chirality. J. Org. Chem. 45, 4175-4179. http://pubs.acs.org/doi/abs/10.1021/jo01309a022
- Portail de la chimie
- Portail de la physique