Liaison phosphodiester

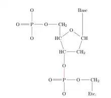
La liaison phosphodiester correspond au lien entre le phosphore d'un groupement phosphate avec deux autres molécules via deux liens ester. Il s'agit donc en fait de deux liaisons phosphoester. Dans l’ADN et l’ARN, la liaison phosphodiester correspond au lien entre deux nucléotides par leurs carbones 3’ et 5’ du désoxyribose ou du ribose.

  • icône décorative Portail de la biochimie
  • icône décorative Portail de la chimie
Liaison phosphodiester entre deux nucléotides
Cet article est issu de Wikipedia. Le texte est sous licence Creative Commons – Attribution – Partage à l’identique. Des conditions supplémentaires peuvent s’appliquer aux fichiers multimédias.