Onde sur une corde vibrante
La corde vibrante est le modèle physique permettant de représenter les mouvements d'oscillation d'un fil tendu. On supposera ici qu'il est tenu par ses deux extrémités, ce qui n'est pas toujours le cas (dans les pendules ou les fils à plomb, par exemple, l'extrémité du bas est libre).

Étant tenue par ses deux extrémités, les vibrations se réfléchissent à chaque extrémité, il y a donc un phénomène d'onde stationnaire.
Ce modèle permet de comprendre les sons émis par les instruments à cordes, mais aussi les mouvements qui peuvent agiter les structures mécaniques comme les câbles, caténaires et élingues.
Ce modèle simple est également une bonne introduction à des phénomènes similaires mais plus complexes, comme les tuyaux sonores, les phénomènes de vibration des plaques…
Approche phénoménologique
Description d'une corde vibrante

Considérons une corde maintenue par ses deux extrémités[1]. Dans le mode de vibration le plus simple, dit « fondamental », elle forme à chaque instant un arc, et la flèche de cet arc varie de manière périodique (la courbure augmente, puis diminue, puis s'inverse, puis augmente dans l'autre sens…).
On peut donc définir une fréquence f de vibration, et l'on remarque que cette fréquence dépend de la masse linéique de la corde (notée μ) ; de la force avec laquelle on tend cette corde (tension notée T) ; et de la longueur de la corde (notée L).
Si l'on cherche l'influence de chaque paramètre, qualitativement :
- plus la corde est légère (μ est faible), plus la fréquence est élevée (c'est la raison pour laquelle les cordes aiguës d'un instrument sont plus fines) ;
- plus la corde est tendue, plus la fréquence de vibration est élevée (d'un point de vue acoustique, la note s'élève lorsqu'on tend la corde) ;
- plus la corde est longue, plus la fréquence est basse (et donc pour un instrument plus le son est grave).

Équation aux dimensions
Attention, dans cet article, à ne pas confondre ν, la fréquence désignée par la lettre grecque nu, et , la vitesse de propagation de l'onde, parfois désignée aussi par .
Les quatre grandeurs physiques identifiées comme intervenant dans le phénomène de la corde vibrante ont respectivement pour dimension :
- ν (fréquence) en s−1 ;
- μ (masse linéique) en kg⋅m−1 ;
- T (tension mécanique) en kg⋅m⋅s−2 ;
- L (longueur) en m.
D'après le théorème de Vaschy-Buckingham, comme ces quatre variables physiques intervenant dans la loi du phénomène dépendent de trois grandeurs fondamentales, il est possible de construire une équation équivalente mettant en jeu une variable sans dimension construite à partir des variables originelles. On voit rapidement qu'une telle variable, représentée ici par la lettre grecque kappa, est :
On remarque que l'expression a les dimensions d'une vitesse: c'est la vitesse de propagation de l'ébranlement le long de la corde. La fréquence de vibration de la corde est donc proportionnelle à , la vitesse de propagation le long de la corde, et inversement proportionnelle à sa longueur.
La constante notée κ2 est ici une constante sans dimension qui ne peut pas être déterminée par la seule analyse dimensionnelle. L'analyse plus détaillée ci-dessous montre que le phénomène admet en réalité toute une famille de vibrations propres, de type κ2 = n/2 où n est un entier quelconque. La fréquence fondamentale est donc celle pour laquelle κ2 = 1/2.
Accord d'un instrument à corde

Sur un instrument, chaque corde a une masse linéique différente, et l'on ajuste la tension pour accorder. Pour jouer, on joue sur le choix de la corde, et lorsque l'instrument a un manche, sur la longueur de la corde en pinçant la corde contre le manche avec le doigt.
En ce qui concerne la longueur : la fréquence varie comme l'inverse de la longueur. Ainsi, si l'on divise la longueur par deux, on multiplie la fréquence par deux c'est-à-dire que l'on monte d'une octave. On remarque ainsi que la douzième frette d'une guitare se trouve au milieu de la corde (puisqu'une octave fait douze demi-tons dans la gamme tempérée).
Mais une corde peut vibrer d'autres manières : si les extrémités restent fixes, la forme qu'elle prend peut avoir deux, trois… n arcs tête-bêche. On parle de « mode de vibration ». Si l'on est au mode n, on a donc n arcs, et chaque arc a pour longueur L/n. Il vibre donc avec une fréquence n fois plus élevée que la fondamentale. C'est ainsi qu'une corde peut émettre des sons de plusieurs hauteurs différentes.
En fait, la vibration réelle est une combinaison linéaire des différents modes ; on parle d'« harmoniques ». L'amplitude des différentes harmoniques est une caractéristique de l'instrument, et détermine sa sonorité (son « timbre »).
Ce n'est pas uniquement la vibration de la corde qui importe, mais celle de tout l'instrument, en particulier de la caisse de résonance.
Équation d'onde pour une corde tendue

Tout ce qui suit suppose que la corde sonore est sans raideur et de diamètre nul, ce qui n'est jamais rigoureusement vérifié. Pour la présentation des effets de raideur, voir : Inharmonicité du piano.
La corde initialement au repos occupe un segment le long de l'axe des x. Elle est tendue avec une tension T (force) appliquée à ses deux extrémités. On déforme la corde dans la direction y et on la lâche. Appelons y(x,t) le déplacement de la corde à l'abscisse x et à l'instant t. Notons l'angle de la tangente à la corde et de l'axe Ox au point d'abscisse x.
Description des forces extérieures appliquées à un morceau de longueur dx.
Aux extrémités du segment, on a les forces de tension et de norme (module) T et de sens opposés qui s'exercent tangentiellement à la corde. Le poids, suivant l'axe y, est considéré comme négligeable par rapport aux forces de tension.
On suppose la déformation petite, de sorte que l'angle α est toujours petit. Dans ce cas :
Sachant que
L'expression de et de devient :
D'où :
Par le théorème de Taylor limité au 1er ordre (dx est supposé très petit) on obtient :
Application du principe fondamentale de la dynamique
En appliquant le principe fondamental de la dynamique au morceau de corde de longueur dx, on a:
soit
En définissant par , la vitesse de propagation de la perturbation le long de la corde. L'équation de d'Alembert s'écrit alors
Cette équation est historique. C'est une des toutes premières équations aux dérivées partielles[2]. Elle a été présentée par d'Alembert en 1747 devant l'Académie Royale des Sciences de Berlin[3]. C'est une équation d'onde qui, étendue aux trois dimensions de l'espace, sera appliquée à la propagation du son puis à la propagation des ondes électromagnétiques.
Signification de v comme vitesse de propagation d'une déformation
Supposons que la corde est infinie. Dans ce cas, une solution possible de l'équation d'onde est : où f est une fonction arbitraire d'une variable qui est x - vt.
Remarque : est aussi une solution acceptable, mais correspond à une onde se propageant dans le sens des x négatifs.
L'équation est en effet satisfaite pour tout f. En particulier, si on pose t = 0, on a la déformation initiale de la corde :
À l'instant t1, on retrouve la même forme mais déplacée en vt1.
La déformation s'est propagée de vt1 pendant le temps t1, avec une vitesse v, sans subir de déformation.
Si, à l'instant t = 0, on a affaire à une déformation de type sinusoïdale :
où λ est la longueur d'onde, on trouve à chaque instant :
que l'on peut ré-écrire sous la forme:
où est le nombre d'onde et est la pulsation.
La fréquence est donnée directement avec la vitesse par et .
Modes propres de vibration d'une corde
Recherchons une solution de l'équation d'onde qui soit harmonique dans le temps, en posant
On trouve ainsi comme équation :
d'où
avec . La solution générale de l'équation ci-dessus est :
où A et B sont deux constantes d'intégration. Si la corde est de longueur L et fixée à ses deux extrémités (x = 0 et x = L), on doit imposer comme conditions aux limites u(0) = u(L) = 0. La première condition impose que A = 0 et la seconde donne B sin(kL) = 0.
À part la solution triviale B = 0 (qui implique u = 0, ce qui n'a aucun intérêt), cette condition est aussi satisfaite si kL = nπ. On trouve ainsi une famille de solutions :
Pour lesquelles les pulsations sont ω = nπv⁄L.
Les fréquences correspondantes sont ν = nv⁄2L, c’est-à-dire multiple d'une fréquence fondamentale v⁄2L (inverse du temps d'un aller et retour le long de la corde). Pour la présentation des effets de raideur, qui augmentent les fréquences propres d'autant plus que le numéro du mode propre est plus élevé, voir : Inharmonicité du piano.
Il existe donc une infinité de modes propres de vibration, décrits par :
Les amplitudes Bn sont arbitraires.
La solution générale de l'équation d'onde peut s'écrire sous la forme d'un superposition de tous les modes propres :
À l'instant t = 0, en particulier,
Si on se donne la forme initiale de la corde, c’est-à-dire si on suppose comme la fonction f(x) = y(x,0), les Bn représentent les coefficients d'une série de Fourier en sinus de f(x) :

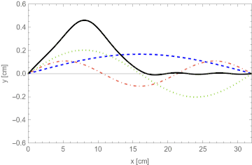
On peut utiliser ce résultat pour trouver l'évolution de n'importe que état initial d'une corde avec des petits déplacements transverses, comme illustré ci-contre pour un état initial correspondant à une excitation dite de "mode harmonique".
Notes et références
- « onde sur une corde », sur PeerTube (consulté le )
- Guillaume Jouve, Imprévus et pièges des cordes vibrantes chez d'Alembert (1755-1783). Doutes et certitudes sur les équations aux dérivées partielles, les séries et les fonctions., Lyon, Thèse Université Claude Bernard - Lyon I, , 167 p. (lire en ligne), p. 79-107
- Mr d'Alembert, « Recherches sur la courbe que forme une corde tendue mise en vibration », Histoire de l'Académie Royale de Berlin, 1747 publié en 1749, p. 214-249 (lire en ligne)
Voir aussi
Articles connexes
Liens externes
- Portail de la musique
- Portail de la musique classique
- Portail de la physique
- Portail des sciences