Passing (jonglerie)
Un passing est une figure de jonglerie impliquant plusieurs personnes (au moins deux mains). Les passes se font entre passeurs, fixes, en déplacement ou en « poste » pour servir les autres. Une passe à soi-même se nomme une self.

L’arme de prédilection du passeur est la massue bien que certains fassent du passing aux anneaux, aux balles en aérien et en rebond ainsi qu’au diabolo. Le choix des massues peut s’expliquer par l’ajout de dimensions par rapport aux balles ; les massues sont plus visuelles car elles présentent deux axes de rotation supplémentaires ce qui permet par exemple de faire des florishs, des flats, des tomahawks, des hélicoptères, des backcross, des treblas… et même des passes où l’on tape les massues l’une contre l’autre. La massue semble être ancrée dans nos mœurs en tant qu’arme de corps à corps redoutable (cf. jeu du gladiateur en convention).
Représentation des schémas de passing
La notation "siteswap vanille"
Cette notation décrit les figures exécutées par un seul jongleur utilisant deux mains pour manipuler un nombre entier d'objets. On suppose que le jongleur lance alternativement avec ses deux mains et que l'intervalle entre deux lancers est constant et on l'appelle alors un "temps". On écrit alors une suite de chiffres entiers correspondant chacun au nombre de temps passés en l'air par les objets.
Par exemple (prononcer "quatre, deux, trois") signifie qu'au premier temps un jongleur seul lance avec une main un objet qui sera relancé 4 temps plus tard, puis au deuxième temps avec l'autre main un objet qui sera relancé 2 temps plus tard, puis au troisième temps de nouveau avec la première main un objet qui sera relancé 3 temps plus tard. Cette écriture peut signifier que la figure est exécutée une seule fois, ou répétée autant de fois que l'on veut. De plus la moyenne des chiffres donne le nombre d'objets utilisés pour la figure. Ici le nombre de lancers ou "période" est , et la moyenne est donc cette figure se fait avec objets.
Pour les lancers dépassant 9, on utilise les lettres de l'alphabet : a signifie un lancer de hauteur 10, b un lancer de hauteur 11, etc. On comprendra pourquoi dans la suite de ce paragraphe. Il existe deux exceptions : "x" qui signifie qu'on croise un objet, et "p" qui signifie "passe", c'est-à-dire un objet lancé à un autre jongleur. En pratique, ces exceptions ne sont pas gênantes puisqu'il est humainement impossible de lancer des objets de cette hauteur en jonglant seul (le record du monde en jonglage seul étant de 11 balles qualifié « Most Balls Juggled » (consulté le ) et 13 en flash).
La notation synchrone
On utilise des parenthèses entre lesquelles On notera par exemple (2,0) la figure où une main effectue un lancer de hauteur 2 et l'autre un lancer de hauteur 0. Si la figure contient plusieurs lancers successifs comme par exemple (4,0)(0,4), le premier (respectivement deuxième) lancer de chaque parenthèse est toujours effectué par la même main. Ici, une main lance 4 puis 0 et l'autre 0 puis 4. On peut toujours calculer la moyenne pour obtenir le nombre d'objets : par exemple dans (2,0) il y a 2 lancers effectués, de valeur 2 et 0, donc la moyenne est . Il faut donc 1 objet pour jongler la figure (2,0).
En notation synchrone on ne peut faire que des lancers de hauteur paire, cependant on peut toujours croiser les balles. Dans ce cas on écrit un "x" (prononcer "x" comme la 24e lettre de l'alphabet latin) après le lancer (le "x" représente une croix, ce qui se dit "cross" en anglais, qui veut aussi dire "croiser"), comme dans (4x,2x) (demi-douche synchrone à 3 balles).
Enfin, il est courant d'ajouter une étoile à la fin d'une figure synchrone pour indiquer qu'on répète les lancers en échangeant les mains. Par exemple (4,2x)* (boîte à 3 balles) signifie en réalité (4,2x)(2x,4).
La notation multiplex
Un multiplex signifie que plusieurs objets sont lancés au même moment par la même main. On note ces lancers à l'aide de parenthèses. Par exemple [54]21(prononcer "cinquante-quatre, deux, un") signifie qu'on lance au premier temps deux objets, l'un avec une hauteur 5 et l'autre avec une hauteur 4, puis un lancer de hauteur 2 avec l'autre main et enfin un lancer de hauteur 1 avec la première main. Le calcul de la moyenne se fait en considérant le nombre de temps où les balles sont lancées, qui est ici de 3. En effet [54] ne constitue qu'un seul temps. Pour jongler [54]21 il faut donc objets.
Extension au passing
Le siteswap asynchrone, synchrone et multiplex peuvent servir pour noter les séquences de passing. En notant <xxx|yyy> on entend qu’un jongleur fait la séquence xxx tandis qu’un autre fait yyy. On ajoute p pour représenter une passe. Par exemple, <3p 3|3p 3> est un passing à 6 objets passant tous les deux temps avec la même main. Autre exemple, une « douche » à deux personnes est notée <(4xp, 2x)|(4xp, 2x)>.
Siteswaps globaux ou Notation multi-mains (MHN pour l'anglais Multi-Hand Notation)
On peut considérer un ensemble de deux jongleurs à chacun deux mains pour un total de 4 mains, d'où le nom de notation multi-mains (MHN). On considère la plupart du temps que les deux jongleurs se font face et l'ordre des lancers est le suivant : main droite du jongleur A, main droite du jongleur B, main gauche du jongleur A, main gauche du jongleur B. Dans ce cas on écrira par exemple 966 pour la valse 7 objets deux personnes. Pour comprendre ce qui se passe, rappelons que la figure s'effectue en boucle, soit : 966966966966... Ainsi, le jongleur A lance un lancer de hauteur 9 de sa main droite puis le jongleur B un lancer de hauteur 6 de sa main droite, le jongleur A un lancer de hauteur 6 de sa main gauche, le jongleur B un lancer de hauteur 9 de sa main gauche, etc.
Pour y voir plus clair, chaque jongleur peut considérer seulement les lancers qu'il a à faire et on peut alors repasser à la notation <|> en considérant pour chaque jongleur un lancer sur deux et en divisant la hauteur par 2 (car il y a 2 jongleurs ayant chacun le même nombre de mains) pour avoir l'équivalent de la hauteur réelle s'il était seul. Par exemple pour 966, A doit lancer 9 puis 6 puis 6 à 4 mains, ce qui donne en hauteur équivalente s'il était seul : 4.5 3 3. On a vu que B lançait 6 puis 9 puis 6, soit en hauteur "réelle" : 3 4.5 3. Ainsi, 966 désigne la même figure que <4.5 3 3 | 3 4.5 3>. Comme on a des lancers de hauteur 4.5, soit , le jongleur B doit partir temps après A. S'il y avait eu des lancers multiples de , chaque jongleur aurait dû partir temps plus tard que le précédent, ce qui arrive par exemple dans le poste 10 massues 3 personnes : <3.3 3 | 3.3 3 3 3 | 3 3 3.3 3> De plus les lancers de hauteur non entière sont forcément des passes, puisqu'un jongleur jongle toujours à intervalles de temps réguliers.
Le test de la moyenne reste valide en MHN : 966 se jongle à objets.
Il faut aussi faire attention au croisement des passes : par exemple dans 966, un jongleur (généralement le premier) fait des passes droites (la main droite lance à la main gauche du partenaire et vice-versa) alors que le deuxième fait des passes croisées (sa main droite lance à la main gauche du partenaire).
Ensuite, le croisement des passes s'alterne à chaque fois que la hauteur de la passe augmente de 1. Par exemple dans la figure 975 ou <4.5p 2.5p 3.5p | 3.5p 4.5p 2.5p>, si A choisit de croiser les 2.5p, il devra décroiser les 3.5p et croiser les 4.5p, et B devra faire l'inverse, soit décroiser les 2.5p, croiser les 3.5p et décroiser les 4.5p. Sur le site passist.org les lancers droits sont notés || et les lancers croisés sont notés x comme dans la notation siteswap standard : « passist - Siteswap 975 (Holy Grail; zap opus two), 2 jugglers » (consulté le )
Mots
Il est courant d'utiliser des mots spécifiques pour les différents types de lancers afin de retenir les séquences et se les transmettre oralement. Les exemples les plus courants sont : "zip" un lancer de hauteur 1 à soi-même, "zap" une passe de hauteur 2.5 ou "joe pass", "self" un lancer de hauteur 3 à soi-même, "pass" une passe de hauteur 3.5, "heff" un lancer de hauteur 4 à soi-même, "double pass" une passe de hauteur 4.5.
Dans l'exemple du "why not" à 6 objets noté 77862, cela donne par exemple pour A : 3.5 4 1 3.5 3 ou encore "pass heff zip pass self" « passist - Siteswap 77862 (why not), 2 jugglers » (consulté le ) .
Rythmes pour 2 jongleurs
6 objets
Le passing est une forme de jonglage dans laquelle deux jongleurs ou plus échangent au moins un objet. Le mode de passing le plus classique est celui où deux jongleurs échangent 6 objets, le plus souvent des massues ou des balles. Par commodité, les objets considérés dans cet article sont appelés massues, mais le principe est le même avec des balles, des anneaux ou n’importe quel autre objet de jonglage aérien.
Il existe de nombreux schémas de passing à 6 objets et 2 jongleurs. Si les deux jongleurs sont synchrones, c’est-à-dire qu’ils s’envoient mutuellement un objet au même moment, tous les rythmes peuvent être adoptés. Il existe aussi de nombreux schémas de passing asynchrones. Par ailleurs, le passing laisse souvent aux jongleurs le loisir d’effectuer de nombreuses figures, variantes du schéma de base ne perturbant pas ce dernier. Il existe différentes manières de noter les schémas de passing, dont les plus utilisées sont le siteswap et les diagrammes de cause.
4 temps (Un-Passe)
Passing à 4 temps, vue de côté.
Vue de dessus.
Le passing à 2 jongleurs, 6 massues et 4 temps est le plus classique des passings. Les deux jongleurs se font face à face et envoient une massue non croisée tous les 4 temps, c’est-à-dire que le jongleur lance généralement la massue avec sa main droite, sur la main gauche du partenaire. Pendant les trois autres temps, les deux jongleurs s’envoient des massues à eux-mêmes (self). Ainsi, le jongleur envoie une massue sur 4 à son partenaire, soit une main droite sur deux (dans un passing de droitier).
Valse (3 temps)
Lors du passing à 3 temps, aussi appelé valse par analogie à la danse qui a le même rythme, les deux jongleurs échangent une massue non croisée tous les 3 temps. Puisque le rythme est impair, les jongleurs échangent les massues en les envoyant alternativement avec la main droite et avec la main gauche. De plus, comme le nombre de temps est égal au nombre de massues de chaque jongleur, ce sont toujours les deux mêmes massues qui sont échangées, ces dernières faisant des allers-retours entre la main droite d’un jongleur et la main gauche de l’autre.

Passe-passe (2 temps)
Dans le passing à 2 temps, appelé aussi passe-passe (ce qui peut prêter à confusion, car "passe-passe" désigne en général deux massues envoyées lors de deux temps successifs, comme lors du passe-passe-self, par exemple), les jongleurs échangent une massue tous les deux temps. Ainsi, dans un passing droitier, le jongleur envoie à son partenaire toutes les massues qu’il tient dans sa main droite (passes), et envoie dans sa propre main droite toutes les massues qu’il reçoit dans sa main gauche (selfs).

Ultimate (1 temps)
L’ultimate, ou passing à 1 temps, correspond à l’échange de toutes les massues par les deux jongleurs. Ainsi, les jongleurs envoient et reçoivent aussi bien avec la main droite qu’avec la main gauche. Comme les jongleurs ne se font aucune passe à eux-mêmes, ce passing laisse peu d’occasions de faire des figures individuelles.

Autres rythmes
- Passe passe self (PPS)
- Passe passe self self (PPSS)
- Passe passe passe self self (PPPSS)
- Passe passe self passe self (PPS PS)
- Tango (Passe self passe self passe passe self ou PS PS PPS)
- Rythmes décroissants-croissants
- Généralisation
- Passings asynchrones

7 objets
Comme pour le passing avec n'importe quel nombre d'objets, les temps impairs sont ambidextres, les temps pairs peuvent être inversés main-droite / main-gauche. Ce qui est présenté ci-dessous pour les temps pairs sont principalement main-droite. Ils peuvent et même doivent être travaillés des 2 manières.
Passe-self (2 temps)
Les jongleurs échangent 1 massue tous les 2 temps. La plupart du temps, cette figure se fait avec des passes en double tour, pour plus de hauteur et donc de temps entre le lancer et la réception de la massue (de manière générale, plus on lance haut, plus la massue fait de tours). Les 2 jongleurs font des passes droites (il est possible aussi que les 2 jongleurs croisent leurs passes, mais les collisions de massues sont alors fréquentes).
Exemple pour commencer la figure :
- J1 prend 4 massues (2 main droite, 2 main gauche), J2 prend 3 massues (1 main droite, 2 main gauche).
- J1 et J2 démarrent en même temps : J1 envoie une passe en double de sa main droite vers la main gauche de J2 etJ2 commence par un self de sa main gauche vers sa main droite.
- J1 fait ensuite un self de sa main gauche vers sa main droite et J2 une passe en double de sa main droite vers la main gauche de J1.
- Chaque jongleur continue sa séquence passe-self.
La notation algébrique est : 4p 3 | 3 4p
Valse (3 temps)
Les jongleurs échangent 1 massue tous les 3 temps. La plupart du temps, cette figure se fait avec des passes en double, pour plus de hauteur et donc de temps entre le lancer et la reception de la massue (de manière générale, plus on lance haut, plus la massue fait de tours). Un jongleur fait des passes droites, l'autre jongleur fait des passes croisées.
Exemple pour commencer la figure :
- J1 prend 4 massues (2 mains droite, 2 main gauche), J2 prend 3 massues (2 main droite, 1 main gauche).
- J1 démarre en en premier: J1 envoie une passe en double (haute, équivalent de 4.5 temps) de sa main droite vers la main gauche de J2 (passe droite).
- J2 attend (1.5 temps) avant de lancer en croisé une passe en double (haute, équivalent de 4.5 temps) de sa main droite vers la main droite de J1 (passe croisée).
- J1 et J2 font 2 selfs après leur passes respectives.
- Chaque jongleur continue sa séquence passe-self-self.
Autre nom de la figure: Passe-Self-Self
La notation algébrique est : 4.5p 3 3
Diagramme de cause :

Ultimate (1 temps)
Les jongleurs échangent toutes les massues. En fait, il n'y a pas de Self dans ce rythme. La plupart du temps, cette figure se fait avec des passes en simple tour. Un jongleur lançant en passes droites, l'autre en passes croisées.
Exemple pour commencer la figure:
- J1 prend 4 massues (2 mains droite, 2 main gauche), J2 prend 3 massues (2 main droite, 1 main gauche).
- J1 démarre en premier. J1 envoie une passe simple (haute, équivalente de 3.5 temps) de sa main droite vers la main gauche de J2 (passe droite).
- J2 attend (0.5 temps) avant de lancer en croisé une passe simple (haute, équivalente de 3.5 temps) de sa main droite vers la main droite de J1 (passe croisée).
- Aucun Self, toutes les massues sont lancées à l'autre jongleur.
La notation est : 3.5p
Fichier de motif du logiciel Jongl : m/7_1cnt_Pass
Diagramme de cause :

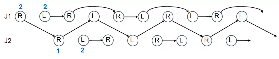
4 temps
Les jongleurs échangent 1 massue tous les 4 temps. La plupart du temps cette figure se fait avec des passes en triple. Les 2 jongleurs font des passes droites en alternance de phases.
Exemple pour commencer la figure :
- J1 prend 4 massues (2 mains droite, 2 main gauche), J2 prend 3 massues (2 main droite, 1 main gauche).
- J1 et J2 démarrent en même temps : J1 envoie une passe en triple de sa main droite vers la main gauche de J2 et J2 commence par un self de sa main droite vers sa main gauche.
- J1 fait un Self de sa main gauche, J2 de même.
- J1 fait un Self de sa main droite, J2 envoie une passe en triple de sa main droite vers la main gauche de J1.
- J1 fait un Self de sa main gauche, J2 de même.
- On recommence la séquence.
Autre nom de la figure : Passe-Self
Notation algébrique : 5p 3 3 3 | 3 3 5p 3
Passe-Passe-Self (3 temps)
Il s'agit d'un rythme où les 2 passeurs ne font pas la même chose. Il est donc nécessaire de changer de poste !
J1 fait la séquence : passe en simple croisée, passe en double décroisée, Self
J2 fait la séquence : passe en double décroisée, Self, passe en double décroisée
Exemple pour commencer la figure :
- J1 prend 4 massues (2 mains droite, 2 main gauche), J2 prends 3 massues (2 main droite, 1 main gauche).
- J1 et J2 démarrent en même temps : J1 envoie une passe en simple croisée (de sa main gauche vers la main gauche de J2) et J2 commence par une passe en double décroisée (de sa main droite vers la main gauche de J1).
- J1 envoie une passe en double décroisée (de sa main droite vers la main gauche de J2) et J2 fait un Self (de sa main gauche vers sa main droite)
- J1 fait un Self et J2 envoie passe en double décroisée (de sa main droite vers la main gauche de J1).
- On recommence la séquence. Attention, comme c'est un rythme impair, il faut échanger les mains droites et les mains gauches pour les passes et les Selfs. La séquence complète est de 6 temps, avant de recommencer les lancers / Selfs avec les mêmes mains...
Notation algébrique : 3p 4p 3 | 4p 3 4p
Diagramme de cause :

Une variation possible est de décroiser les passes indiquées en croisées et de croiser les passes indiquées en décroisées. Cette variante génère cependant plus de collisions.
3 temps de Jim
Chaque jongleur fait la séquence : 3 passes doubles de la main droite (entre des selfs), puis 3 passes doubles de la main gauche (entre des selfs). L'un croise les passes l'autre les décroise.
On remarquera qu'une fois tous les 5 temps, chaque jongleur recommence avec la même main que celle avec laquelle il s'est arrêté.
Exemple pour prendre la figure :
- J1 prends 4 massues (2 mains droite, 2 main gauche), J2 prend 3 massues (1 main droite, 2 main gauche):
- J1 et J2 démarrent en même temps :
- J1 envoie une passe double croisée depuis sa main droite, puis self, passe double croisée, self, passe double croisée.
- J2 fais un self depuis sa main gauche, puis envoie une passe double décroisée depuis sa main droite, self depuis sa main droite (attention : main droite!), passe double décroisée depuis sa main gauche, self.
- J1 continue de sa main droite (attention : même main que sa dernière passe double) par self, passe double croisée depuis sa main gauche, self, passe double croisée, self, passe double croisée.
- J2 continue par passe double décroisée depuis sa main gauche, self, passe double décroisée, self depuis sa main gauche (attention : main gauche!), passe double décroisée depuis sa main droite, self.
- J1 fais alors de sa main gauche (attention : même main que sa dernière passe double) un self
- J2 fais alors une passe décroisée double
- On est revenu à la position du départ
Une façon de réussir cette figure est de se dire : quand je reçois une massue (ou autre objet), je fais un self.
Passe-Self-Self (3 temps)
Chaque jongleur fait le même rythme Passe - Self - Self, 1 jongleur croise les passes, l'autre les décroise (4.5p 3 3). Les passes sont des doubles flottantes (4.5p).
Exemple pour prendre la figure:
- J1 prend 4 massues (2 mains droite, 2 main gauche), J2 prend 3 massues (2 main droite, 1 main gauche)
- J1 démarre en premier :
- Passe croisée double de sa main droite, self, self
- J2 commence 1 temps 1/2 après la passe de J1 (il attend le plus longtemps possible) :
- Passe décroisée double de sa main droite, self, self
C'est un rythme asynchrone.
Variations :
- On peut remplacer le "Self - Self" par "Self double flottant - Zip". Ce qui donne en notation algébrique : 4.5p 5 1.
- On peut remplacer le "Self - Self" par "Colonne - Hold". Ce qui donne en notation algébrique : 4.5p 4 2.
- On peut aussi tenter "Self triple - Passe Double - Zip". Ce qui donne : 5 4.5p 1.
Passe-Passe-Passe-Self-Self
Un rythme simple avec beaucoup de massues échangées à hauteurs différentes. <4p 4p 4p 3 3 | 3 3p 3p 5p 3>
Exemple pour prendre la figure :
- J1 prend 4 massues (2 mains droite, 2 main gauche), J2 prend 3 massues (2 main droite, 1 main gauche)
- J1 et J2 démarrent en même temps :
- J1 : Passe double croisée, passe double croisée, passe double croisée, self, self
- J2 : Self, passe simple décroisée, passe simple décroisée, passe triple décroisée, self
Bookends (Passe-Passe-Self-Pass-Self)
5 rythmes
Compte à rebours
2 rythmes
Les pop-corns
Ces rythmes sont appelés ainsi car de temps en temps une massue (ou autre objet) saute d'un côté ou de l'autre... Ça vaut le coup de les travailler car ils sont très agréables à tourner.
6 temps
Chaque jongleur fait exactement la même chose.
Chaque jongleur fait la séquence : Self double (préférable au triple !) - Self - Passe - Self - Self - Self (5 3 4p 3 3 3).
Exemple pour prendre la figure :
- J1 prend 4 massues (2 mains droite, 2 main gauche), J2 prend 3 massues (2 main droite, 1 main gauche)
- J1 démarre en premier :
- J1 envoie un Self en double de sa main droite vers sa main gauche
- Puis un Self de sa main gauche vers sa main droite
- Puis une passe simple décroisée flottante (de sa main droite vers la main gauche de J2)
- J2 commence 1 temps 1/2 après la passe de J1 (il attend le plus longtemps possible):
- Self en double de sa main droite vers sa main gauche
- Puis un Self de sa main gauche vers sa main droite
- Puis une passe simple décroisée flottante (de sa main droite vers la main gauche de J1)
- Pendant ce temps, J1 fait 3 Selfs après la passe (en attendant la passe de J2), soit :
- un Self de sa main gauche vers sa main droite
- un Self de sa main droite vers sa main gauche
- un Self de sa main gauche vers sa main droite
- Et juste avant de réceptionner la passe de J2 sur sa main gauche, J1 recommence la séquence.
- J2 pendant ce temps fait :
- un Self de sa main gauche vers sa main droite
- un Self de sa main droite vers sa main gauche
- un Self de sa main gauche vers sa main droite
- Et juste avant de réceptionner la passe de J1 sur sa main gauche, J2 recommence la séquence.
5 temps
Chaque jongleur fait la même chose, si ce n'est que l'un fait des passes croisées et l'autre décroisées. C'est un rythme ambidextre, très intéressant.
Chaque jongleur fait la séquence : Self double (préférable au triple !) - Self - Passe - Self - Self (5 3 3.5p 3 3).
Exemple pour prendre la figure (on commence comme le pop-corn 6 temps):
- J1 prend 4 massues (2 mains droite, 2 main gauche), J2 prend 3 massues (2 main droite, 1 main gauche)
- J1 démarre en premier :
- J1 envoie un Self en double de sa main droite vers sa main gauche
- Puis un Self de sa main gauche vers sa main droite
- Puis une passe simple décroisée flottante (de sa main droite vers la main gauche de J2)
- J2 commence 1 temps 1/2 après la passe de J1 (il attend le plus longtemps possible):
- Self en double de sa main droite vers sa main gauche
- Puis un Self de sa main gauche vers sa main droite
- Puis une passe simple croisée flottante (de sa main droite vers la main droite de J1)
- Pendant ce temps, J1 fait 2 Selfs après la passe (en attendant la passe de J2), soit :
- un Self de sa main gauche vers sa main droite
- un Self de sa main droite vers sa main gauche
- Et juste avant de réceptionner la passe de J2 sur sa main droite, J1 recommence:
- Self double de sa main gauche vers sa main droite
- Self de sa main droite vers sa main gauche
- Passe simple décroisée flottante (de sa main gauche vers la main droite de J2)
- Self de sa main droite vers sa main gauche
- Self de sa main gauche vers sa main droite
- J2 pendant ce temps fait :
- un Self de sa main gauche vers sa main droite
- un Self de sa main droite vers sa main gauche
- Et juste avant de réceptionner la passe de J1 sur sa main droite, J2 recommence:
- Self double de sa main gauche vers sa main droite
- Self de sa main droite vers sa main gauche
- Passe simple croisée flottante (de sa main gauche vers la main gauche de J1)
- Self de sa main droite vers sa main gauche
- Self de sa main gauche vers sa main droite
Une variante de ce rythme en remplaçant le "Self double - Self" initial par un "Colonne - Colonne" est possible. Cela donne : colonne - colonne - Passe - Self - Self (4 4 3.5p 3 3).
3 temps
Chaque jongleur fait la même chose, si ce n'est que l'un fait des passes croisées et l'autre décroisées.
Chaque jongleur fait la séquence : Passe-Self-Colonne (3.5p 3 4).
Exemple pour commencer la figure:
- J1 prend 4 massues (2 mains droite, 2 main gauche), J2 prend 3 massues (1 main droite, 2 main gauche).
- J1 démarre en premier : J1 envoie une passe en simple de sa main droite vers la main droite de J2 (croisé) et J2 commence 1 temps 1/2 plus tard par une passe en simple de sa main droite vers la main gauche de J1 (décroisé).
- J1 fait un Self (de sa main gauche vers sa main droite), 1 temps 1/2 temps plus tard J2 fait un Self (de sa main gauche vers sa main droite).
- J1 fait une colonne de sa main droite, 1 temps 1/2 temps plus tard J2 fait une colonne de sa main droite.
- On recommence la séquence Passe-Self-Colonne en inversant les mains : J1 fait une passe simple croisée de sa main gauche vers la main gauche de J2...
Notation algébrique : 3.5p 3 4 | 4 3.5p 3 (rythme asynchrone - J2 est décalé de 1/2 temps par rapport à J1)
Diagramme de cause :

Notes et références
Voir aussi
Articles connexes
Liens externes
- (fr + en) Passing DataBase - Site collaboratif de référence.
- (en + de) Jongl - Logiciel de simulation de jonglage et de passing (qui peut être configuré en Français)
- (en) Liste de schémas de passing pour 2 jongleurs
- (en) Passist - Site générant, listant et expliquant de nombreuses figures
- Portail des arts du spectacle