Phosphatidylglycérol
Un phosphatidylglycérol est un phospholipide constitué d'un acide phosphatidique lié par une liaison ester à un résidu glycérol.

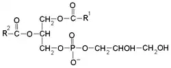
Structure générique d'un phosphatidylglycérol.
Ces composés sont les précurseurs du surfactant pulmonaire et leur présence dans le liquide amniotique indique la maturité pulmonaire du fœtus. Bien que leur concentration ne dépasse pas 5 % des phospholipides de cette sécrétion, ils joueraient plus particulièrement un rôle dans la dispersion du tensioactif pulmonaire sécrété par les pneumocytes de type II sur les 98 % de la surface alvéolaire occupés par les pneumocytes de type I. Le manque de phosphatidylglycérol conduit à une insuffisance respiratoire sévère.
- Portail de la chimie
- Portail de la biochimie
- Portail de la biologie cellulaire et moléculaire
- Portail de la médecine
Cet article est issu de Wikipedia. Le texte est sous licence Creative Commons – Attribution – Partage à l’identique. Des conditions supplémentaires peuvent s’appliquer aux fichiers multimédias.