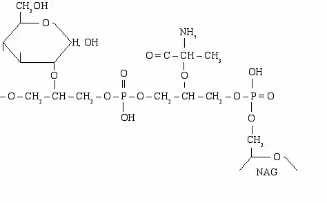
Polyglycérol phosphate
Le polyglycérol phosphate est un exemple d’acide téichoïque présent dans la paroi bactérienne.

Notes et références
- Portail de la biologie
- Portail de la biochimie
- Portail de la chimie
Cet article est issu de Wikipedia. Le texte est sous licence Creative Commons – Attribution – Partage à l’identique. Des conditions supplémentaires peuvent s’appliquer aux fichiers multimédias.