Rouge naphtol

Le rouge naphtol (pigment Red 170 ou PR170) est un pigment organique largement utilisé dans des revêtements et des peintures automobiles.

Rouge naphtol
Image illustrative de l’article Rouge naphtol
Identification
Nom UICPA 4-(2-(4-carbamoylphényl)hydrazono)-N-(2-éthoxypényl)-3-oxo-3,4-dihydronaphtalène-2-carboxamide
Synonymes

C.I. 12475, C.I. Pigment Red 170

No CAS 2786-76-7
No ECHA 100.018.645
No CE 220-509-3
PubChem 5359812
SMILES
InChI
Propriétés chimiques
Formule C26H22N4O4  [Isomères]
Masse molaire[1] 454,477 3 ± 0,024 3 g/mol
C 68,71 %, H 4,88 %, N 12,33 %, O 14,08 %,
Propriétés physiques
Masse volumique 1,317 g·cm-3 [réf. souhaitée]

Unités du SI et CNTP, sauf indication contraire.

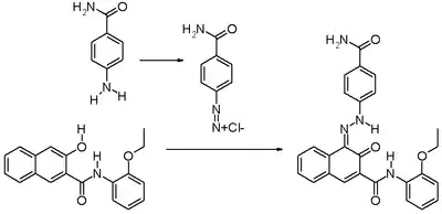
Il est produit par synthèse en convertissant le p-aminobenzamide en le composé de diazonium correspondant, suivi d'un couplage azo avec de l'amide 3-hydroxy-2-naphtamide de (2-éthoxy)anilide :

"Synthèse du pigment red 170"

À l'état solide, des formes tautomères hydrazo et plusieurs structures cristallines existent. Dans la forme polymorphe α initiale, les molécules sont disposées dans un motif à chevrons avec de nombreuses liaisons hydrogène. Le polymorphe φ plus stable est aussi plus dense et est produit industriellement par traitement thermique dans l'eau à 130 °C sous pression. Dans cette phase, les molécules sont planes et disposées en couches. De nombreuses liaisons hydrogène existent dans les couches, mais entre les couches les seules interactions sont des forces de van der Waals. Les structures cristallines denses sont préférées pour les pigments utilisés dans les revêtements parce que face à la décomposition photochimique, les fragments maintenus en place sont capables de se recombiner. Des recherches montrent que par le remplacement du groupe éthoxy dans ce composé par un groupe méthoxy, la structure cristalline est moins stable et en application pratique, la couleur disparaît plus facilement. Par une sélection minutieuse des substituants, il est possible d'optimiser la structure cristalline et améliorer les propriétés optiques[2].

Notes et références

  1. Masse molaire calculée d’après « Atomic weights of the elements 2007 », sur www.chem.qmul.ac.uk.
  2. Martin U. Schmidt, Detlef W. M. Hofmann, Christian Buchsbaum, Hans Joachim Metz, Crystal Structures of Pigment Red 170 and Derivatives, as Determined by X-ray Powder Diffraction , Angewandte Chemie International Edition, 2006, vol. 45(8), p. 1313-1317, DOI 10.1002/anie.200502468.
  • icône décorative Portail de la chimie
  • icône décorative Portail de l’automobile
Cet article est issu de Wikipedia. Le texte est sous licence Creative Commons – Attribution – Partage à l’identique. Des conditions supplémentaires peuvent s’appliquer aux fichiers multimédias.