Thujopsène
Le thujopsène est un composé organique, de formule chimique C15H24, donc un sesquiterpène. On le trouve dans l'huile essentielle de nombreux conifères, notamment Juniperus cedrus (où il représente plus de 80 % de l'huile extraite du bois[3]) et Thujopsis dolabrata[4], dont il tire son nom.
| Thujopsène | |
| |
| Identification | |
|---|---|
| Nom UICPA | (1aS,4aS,8aS)-2,4a,8,8-Tétraméthyl-1,1a,4,4a,5,6,7,8-octahydrocyclopropa[d]naphthalène |
| Synonymes |
Sesquichamène; Widdrene |
| No CAS | |
| No ECHA | 100.006.753 |
| PubChem | 442402 |
| SMILES | |
| InChI | |
| Propriétés chimiques | |
| Formule | C15H24 [Isomères] |
| Masse molaire[1] | 204,351 1 ± 0,013 7 g/mol C 88,16 %, H 11,84 %, |
| Propriétés physiques | |
| T° ébullition | 258 à 260 °C[2] |
| Masse volumique | 0,936 g cm−3 à 20 °C[2] |
| Unités du SI et CNTP, sauf indication contraire. | |
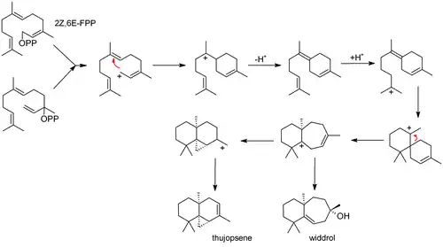
Biosynthèse
Le thujopsène est biosynthétisé à partir du Farnésyl-pyrophosphate, selon la réaction suivante[5] :

Références
- (en) Cet article est partiellement ou en totalité issu de l’article de Wikipédia en anglais intitulé « Thujopsene » (voir la liste des auteurs).
- Masse molaire calculée d’après « Atomic weights of the elements 2007 », sur www.chem.qmul.ac.uk.
- « (−)-Thujopsene 89235 », sur Sigma-Aldrich (consulté le )
- (en) R. P. Adams, « Cedar Wood Oil — Analyses and Properties », dans Essential Oils and Waxes, Springer, coll. « Modern Methods of Plant Analysis », (ISBN 978-3-642-84023-4, DOI 10.1007/978-3-642-84023-4_8, lire en ligne), p. 159–173
- Chul-Hee Kim, Taehun Lee, Ikhoon Oh et Kung-Woo Nam, « Mast cell stabilizing effect of (-)-Elema-1,3,11(13)-trien-12-ol and thujopsene from Thujopsis dolabrata is mediated by down-regulation of interleukin-4 secretion in antigen-induced RBL-2H3 cells », Biological & Pharmaceutical Bulletin, vol. 36, no 3, , p. 339–345 (ISSN 1347-5215, PMID 23449323, DOI 10.1248/bpb.b12-00375, lire en ligne, consulté le )
- (en) Charles Sell et J. Mann, R.S. Davidson, D.V. Banthorpe, J.B. Hobbs et J.B. Harborne, « Natural product : Their chemistry and biological significance », Flavour and Fragrance Journal, vol. 10, no 1, (ISSN 1099-1026, DOI 10.1002/ffj.2730100111, lire en ligne, consulté le )
- Portail de la chimie
Cet article est issu de Wikipedia. Le texte est sous licence Creative Commons – Attribution – Partage à l’identique. Des conditions supplémentaires peuvent s’appliquer aux fichiers multimédias.
