Acide pulvinique
| Acide pulvinique | |
| |
| Identification | |
|---|---|
| DCI | acide pulvique |
| Nom systématique | acide (2E)-(5-hydroxy-3-oxo-4-phényl-2(3H)-furanylidène)phénylacétique |
| No CAS | |
| PubChem | 3035166 |
| SMILES | |
| InChI | |
| Apparence | prismes orange[1] |
| Propriétés chimiques | |
| Formule | C18H12O5 [Isomères] |
| Masse molaire[2] | 308,284 9 ± 0,016 7 g/mol C 70,13 %, H 3,92 %, O 25,95 %, |
| pKa | 6,86± 0,05[3] |
| Propriétés physiques | |
| T° fusion | 216 à 217 °C (décomposition)[1] |
| Solubilité | soluble dans l'éthanol[1] |
| Écotoxicologie | |
| DL50 | 500 mg/kg (souris, i.p.)[4] |
| Unités du SI et CNTP, sauf indication contraire. | |
L'acide pulvinique est un composé organique de formule C18H12O5. Il comporte plusieurs groupes fonctionnels : lactone, énol et acide carboxylique insaturé (acide alcénoïque). Son nom est l'anagramme de l'acide vulpinique, son ester de méthyle, découvert notamment dans Letharia vulpina. Il est par ailleurs bien moins toxique que ce dernier. C'est un pigment naturel qui donne son nom à une sous-classe de dérivés, les acides pulviniques, présents dans de nombreuses espèces de lichens et de champignons.
Historique
L'acide vulpinique, l'ester de méthyle de l'acide pulvinique fut découvert en 1831 par le pharmacien et chimiste français Antoine Bebert, dans le cadre de l'étude de lichens. Il ne fut cependant caractérisé et décrit en détail qu'en 1860 par les chimistes allemands Franz Möller et Adolph Strecker[5].
Occurrence naturelle
L'acide pulvinique est présent dans de nombreuses espèces de lichens[6] et de champignons, en particulier chez les bolets (Boletaceae) comme Boletus calopus[7], que ce soit sous la forme de dimères, ou de dérivés.
La plupart des pigments jaunes chez les champignons et les lichens sont d'ailleurs des dérivés de l'acide pulvinique. Une distinction est généralement faite entre les dérivés de la forme monomère (acide vulpinique, acide gomphidique, acide xérocomique, acide variégatique, acide pinastrique…), et ceux des formes di- ou oligomériques, qui sont souvent regroupés sous le terme de « badione » (badione A, norbadione A, bisnorbadioquinone A…).
Propriétés
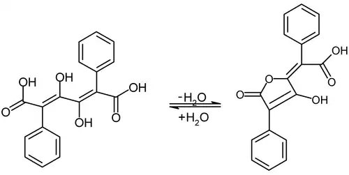
L'acide pulvinique est notamment une lactone, l'ester intramoléculaire de l'acide trans-1,4-diphényl-2,3-dihydroxybuta-1,3-diéne-1,4-dicarboxylique :

L'acide variégatique (en) appelé jadis bolétol, et l'acide xérocomique (en), deux acides hydoxypulviniques présents dans de nombreux Boletaceae, sont responsables de la teinte bleue et de l'odeur fruitée que prend le champignon soumis à un stress ou endommagé ; ces deux composés sont alors oxydés par une enzyme pour former des dérivés quinones[8].
Acide xérocomique
Acide variégatique
Synthèse
Jacob Volhard fut le premier à synthétiser les acides vulpinique et pulvinique en 1894 à partir de cyanure de benzyle[9].
Chez les champignons, la biosynthèse débute à partir de la tyrosine[8] ou de la phénylalanine ; elle inclut des étapes de désamination, dimérisation et cyclisation pour former l'acide pulvinique ou l'acide hydroxypulvinique[10].
Références
- (de) Cet article est partiellement ou en totalité issu de l’article de Wikipédia en allemand intitulé « Pulvinsäure » (voir la liste des auteurs).
- 1 2 3 (de) « Pulvinsäure », sur Römpp Online, Georg Thieme Verlag (consulté le )
- ↑ Masse molaire calculée d’après « Atomic weights of the elements 2007 », sur www.chem.qmul.ac.uk.
- ↑ M. C. Gaylord, L. R. Brady, « Comparison of pigments in carpophores and saprophytic cultures of Paxillus panuoides and Paxillus atrotomentosus », Journal of Pharmaceutical Sciences, vol. 60, no 10, , p. 1503–1508 (DOI 10.1002/jps.2600601013)
- ↑ (en) « Acide pulvinique », sur ChemIDplus.
- ↑ Canstatt's Jahresbericht über die Fortschritte in der Pharmacie und verwandte Wissenschaften in allen Ländern, Harvard Universität, Jahrgang 10 (1861).
- ↑ Yann Bourdreux, Ewen Bodio, Catherine Willis, Célia Billaud, Thierry Le Gall et Charles Mioskowski, « Synthesis of vulpinic and pulvinic acids from tetronic acid », Tetrahedron, vol. 64, no 37, , p. 8930 (DOI 10.1016/j.tet.2008.06.058)
- ↑ Huang, Y.-T.; Onose, J.-I.; Abe, N.; Yoshikawa, K., « In vitro inhibitory effects of pulvinic acid derivatives isolated from Chinese edible mushrooms, Boletus calopus and Suillus bovinus, on cytochrome P450 activity », Bioscience Biotechnology and Biochemistry, vol. 73, no 4, , p. 855–60 (PMID 19352038, DOI 10.1271/bbb.80759, lire en ligne [PDF])
- 1 2 Tilo Lübken: Hygrophorone. Neue antifungische Cyclopentenonderivate aus Hygrophorus-Arten (Basidiomycetes). (PDF; 3,3 MB) Universität Halle, Halle a. d. Saale 2006. S. 11–12.
- ↑ (de) Jacob Volhard, « Synthese und Constitution der Vulpinsäure », Liebigs Annalen der Chemie, vol. 282, nos 1-2, , p. 1-21 (DOI 10.1002/jlac.18942820102)
- ↑ L. Zechmeister: Fortschritte Der Chemie Organischer Naturstoffe, 1971, Springer-Verlag, (ISBN 3-211-81024-2).
- Portail de la chimie
- Portail de la biochimie
- Portail de la mycologie
