Réaction de Borodine-Hunsdiecker
La réaction de Borodine-Hunsdiecker est une réaction chimique qui implique que les sels d'argent d'un acide carboxylique réagissent avec des halogènes pour former un intermédiaire instable qui subit ensuite une décarboxylation thermique conduisant à la formation d'un halogénure d'alkyle.

Découverte
Le compositeur et chimiste russe Alexandre Borodine fut le premier à écrire et publier une démonstration de ce type de réaction, en 1861[réf. souhaitée]. Dans une préparation de bromure de méthyle, il inclut de l'acétate d'argent. Le mécanisme a également été appliqué vers la même période, bien qu'un peu plus tard, par Angelo Simonini, un élève du chimiste autrichien Adolf Lieben, lors d'une expérience de dégradation d'acides gras comprenant des réactions entre l'iode et les carboxylates d'argent.
Dans le monde anglo-saxon, cette réaction porte souvent le seul nom du chimiste allemand Heinz Hunsdiecker et de sa femme Clare Hunsdiecker. Ils ont permis l'amélioration de la réaction et leur méthode s'est imposée comme la méthode générale de production des halogénures organiques qui en résultent[1].
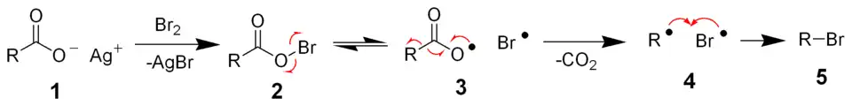
Réaction

Un exemple-type d'une réaction de Borodine-Hunsdiecker est la synthèse du chlorobenzène, plus précisément lorsque des sels d'argent d'acide benzoïque sont traités avec du chlore[2] :
- Le sel d'argent réagit avec un halogène, ce qui entraîne la séparation de l'halogénure d'argent et la formation d'hypohalite.
- La liaison halogène-oxygène est divisée homolytiquement en un radical halogène et un radical carboxyle, qui, après la libération de CO2, réagit encore avec un radical halogène libre pour former un hydrocarbure halogéné.
- La scission du CO2 (décarboxylation) «raccourcit» la molécule d'un atome de carbone.
Le tétrachlorure de carbone est souvent utilisé comme solvant. Certaines des étapes de la réaction suivent un mécanisme radical. Dans son mécanisme, elle est similaire à l'électrolyse de Kolbe[1].
En principe, des acides carboxyliques aliphatiques comme aromatiques peuvent être utilisés.
Variantes
Une variante de la réaction de Borodine-Hunsdiecker consiste à utiliser de l'oxyde mercurique et du brome pour préparer du 1-bromo-3-chlorocyclobutane à partir d'acide 3-chlorocyclobutanecarboxylique. K.B. Wiberg (1965) avait précédemment démontré que le produit réagissait avec le sodium fondu pour former du bicyclobutane via un « couplage de Wurtz », avec un bon rendement chimique[3].
La réaction de Kochi est une autre variante développée par Jay Kochi, utilisant l'acétate de plomb(IV) et le chlorure de lithium.
Le bromure de lithium peut également être utilisé pour effectuer l'halogénation et la décarboxylation.
Publications
Références
- 1 2 (en) « Hunsdiecker Reaction - Mechanism Of Hunsdiecker Reaction and Halides », sur BYJUS (consulté le )
- ↑ (en) « 10.57/ Hunsdiecker Reaction - CBSE Class 12 /chemistry halo alkanes and halo arenes chpater » [vidéo], sur YouTube (consulté le ).
- ↑ Wiberg, K. B.; Lampman, G. M.; Ciula, R. P.; Connor, D. S.; Schertler, P.; Lavanish, J. (1965). "Bicyclo[1.1.0]butane". Tetrahedron. 21 (10): 2749–2769.
- ↑ https://www.sciencedirect.com/science/article/abs/pii/S1387160999800620?via%3Dihub
- ↑ https://pubs.acs.org/doi/full/10.1021/jo025868h?src=recsys
- ↑ A Baldacci, A Baldan, A Gambi et P Stoppa, « The vibrational spectra and normal coordinates analysis of bromofluoromethane, CH2BrF », Journal of Molecular Structure, vol. 517-518, , p. 197–208 (ISSN 0022-2860, DOI 10.1016/S0022-2860(99)00251-3, lire en ligne, consulté le )
Voir aussi
Articles connexes
Liens externes
- (pt) Carlos A. L. Filgueiras: Entre a batuta e o tubo de ensaio: a carreira admirável de Alexandre Borodin, 2002
- (en) Vidéo explicative sur la réaction de Borodine-Hunsdiecker (sur https://www.invidio.us)
- Portail de la chimie
