Réaction de Passerini
| Réaction de Passerini | |
|---|---|
| Nommée après | Mario Passerini |
| Type de réaction | réaction de formation de liaisons carbone-carbone |
La réaction de Passerini est une réaction chimique impliquant un iso cyanure, un aldéhyde (ou cétone ) et un acide carboxylique pour former un α- acyloxy amide[1],[2],[3].

Cette réaction organique a été découverte par Mario Passerini en 1921 à Florence, en Italie. Il s'agit de la toute première réaction multi composants à base d'iso cyanure développée et joue actuellement un rôle central dans la chimie combinatoire[4].
Récemment, Danemark et al. ont développé un catalyseur énantiosélectif pour les réactions de Passerini asymétriques[5].
Mécanisme de réaction
Deux voies de synthèse ont été émises.
Mécanisme ionique
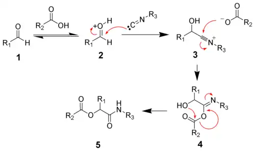
Dans les solvants polaires tels que le méthanol ou l'eau, la réaction commence par protonation du carbonyle suivie d'une addition nucléophile de l'iso cyanure pour donner l'ion nitrilium 3 . L'addition d'un carboxylate donne l'intermédiaire 4 . Le transfert de groupe acyle et la tautomérisation de l'amide donnent l'ester désiré 5[réf. nécessaire] .

Mécanisme concerté
Dans des solvants non polaires et à forte concentration, un mécanisme concerté est probable[6] :

Ce mécanisme implique une réaction tri moléculaire entre l'iso cyanure (R–NC), l'acide carboxylique et le carbonyle dans une séquence d'additions nucléophiles. L'état de transition TS # est décrit comme un cycle à 5 chaînons avec une covalence partielle ou une double liaison. La deuxième étape de la réaction de Passerini est un transfert d'acyle vers le groupe hydroxyle voisin. Il existe un support pour ce mécanisme de réaction : la réaction se déroule dans des solvants relativement non polaires (conformément à l'état de transition) et la cinétique de la réaction dépend des trois réactifs . Cette réaction est un bon exemple de synthèse convergente.
Portée
La réaction de Passerini est utilisée dans de nombreuses réactions à plusieurs composants. Par exemple un précédé d'une réaction de Horner-Wadsworth-Emmons et formant un depsipeptide[7] :

Les réactions à plusieurs composants de Passerini ont trouvé une utilisation dans la préparation de polymères à partir de matériaux renouvelables[8].
Articles connexes
Références
- ↑ Passerini, M.; Simone, L. Gazz. Chim. Ital. 1921, 51, 126–29.
- ↑ Passerini, M.; Ragni, G. Gazz. Chim. Ital. 1931, 61, 964–69.
- ↑ Banfi, L. et Riva, R., The Passerini Reaction, vol. 65, , 1–140 p. (ISBN 978-0471264187, DOI 10.1002/0471264180.or065.01).
- ↑ Dömling, A.; Ugi, I. Angew. Chem. Int. Ed. Engl. 2000, 39, 3168–3210. (Review)
- ↑ Denmark, S. E.; Fan, Y. J. Org. Chem. 2005, 70, 9667–76. DOI 10.1021/jo050549m
- ↑ The Passirini Reaction L. Banfi, R.Riva in Organic Reactions vol. 65 L.E. Overman Ed. Wiley 2005 (ISBN 0-471-68260-8)
- ↑ A Flexible Six-Component Reaction To Access Constrained Depsipeptides Based on a Dihydropyridinone Core Monica Paravidino, Rachel Scheffelaar, Rob F. Schmitz, Frans J. J. de Kanter, Marinus B. Groen, Eelco Ruijter, and Romano V. A. Orru J. Org. Chem. 2007, 72, 10239–42 DOI 10.1021/jo701978v
- ↑ Kreye, O.; Tóth, T.; Meier, M. J. Am. Chem. Soc., 2011, 133 (6), p. 1790–1792 DOI 10.1021/ja1113003
- Portail de la chimie