Réarrangement de Pummerer

Le réarrangement de Pummerer est une réaction organique par laquelle un sulfoxyde d' alkyle se réarrange en un α- acyloxy - thioéther (mono thioacétal -ester) en présence d'anhydride acétique[1],[2],[3].

The Pummerer rearrangement
The Pummerer rearrangement

La stœchiométrie de la réaction est:

RS(O)CHR'2 + Ac2O → RSC(OAc)R'2 + AcOH

Histoire

La réaction a été découverte par le chimiste autrichien Rudolph Pummerer en 1909[4],[5].

Implémentation synthétique

L'anhydride acétique, l'anhydride trifluoroacétique et l'anhydride triflique ont été utilisés comme activateurs[6]. Outre les acétates, les nucléophiles les plus courants sont les arènes, les alcènes, les amides et les phénols.

L'utilisation de α-acylsulfoxydes et d'acide de Lewis, tels que TiCl4 et SnCl4, permet à la réaction de se dérouler à des températures plus basses (0 °C)[7].

Le chlorure de thionyle peut être utilisé à la place de l'anhydride acétique pour déclencher l'élimination pour former l'intermédiaire électrophile et fournir du chlorure comme nucléophile pour donner un α-chloro-thioéther[8] :

Example of the Pummerer rearrangement using thionyl chloride
Example of the Pummerer rearrangement using thionyl chloride

D'autres anhydrides et halogénures d'acyle peuvent donner des produits similaires. Les acides inorganiques peuvent également donner cette réaction. Ce produit peut être transformé en aldéhyde ou en cétone par hydrolyse[9].

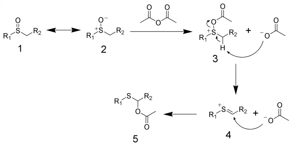
Mécanisme

Le mécanisme du réarrangement de Pummerer commence par l'acylation du sulfoxyde (structures de résonance 1 et 2) par l'anhydride acétique pour donner 3, avec de l'acétate comme sous-produit. L'acétate agit alors comme catalyseur pour induire une réaction d'élimination pour produire la structure cationique-thial 4, avec de l'acide acétique comme sous-produit. Enfin, l'acétate attaque le thial pour donner le produit final 5.

The mechanism of the Pummerer rearrangement
The mechanism of the Pummerer rearrangement

L'électrophile thial activé peut être piégé par divers nucléophiles intramoléculaires et intermoléculaires pour former des liaisons carbone-carbone et des liaisons carbone-hétéroatome.

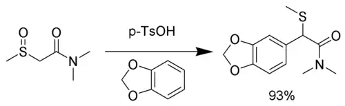
L'intermédiaire est si électrophile que même les nucléophiles neutres peuvent être utilisés, y compris les cycles aromatiques avec des groupes donneurs d'électrons comme le 1,3-benzodioxole[10] :

Exemple de téarrangement de Pummerer avec le vératrole
Exemple de téarrangement de Pummerer avec le vératrole

Il est possible d'effectuer le réarrangement en utilisant du sélénium à la place du soufre[11].

Fragmentation de Pummerer

Lorsqu'un substituant sur la position α peut former un carbocation stable, ce groupe plutôt que l'atome d'hydrogène α sera éliminé dans l'étape intermédiaire. Cette variante est appelée une « fragmentation Pummerer »[12]. Un exemple de ce type de réaction est la réaction entre un sulfoxyde et l'anhydride trifluoroacétique (TFAA):

Pummerer fragmentation
Pummerer fragmentation

Le groupe organique R2 montré dans le diagramme ci-dessus en bas à droite est le carbocation du violet de méthyle, dont le pK R + de 9,4 n'est pas suffisant pour compenser la perte de H+ et donc un réarrangement classique de Pummerer se produit. La réaction de gauche est une fragmentation car le groupe partant avec pKR + = 23,7 est particulièrement stable.

Voir également

Références

  1. Ottorino de Lucchi, Umberto Miotti et Giorgio Modena, The Pummerer Reaction of Sulfinyl Compounds, vol. 40, , 157–184 p. (ISBN 978-0471264187, DOI 10.1002/0471264180.or040.03)
  2. Padwa, Gunn et Osterhout, « Application of the Pummerer Reaction Toward the Synthesis of Complex Carbocycles and Heterocycles », Synthesis, vol. 1997, no 12, , p. 1353–1377 (DOI 10.1055/s-1997-1384)
  3. Padwa, Bur, Danca et Ginn, « Linked Pummerer-Mannich Ion Cyclizations for Heterocyclic Chemistry », Synlett, vol. 2002, no 6, , p. 851–862 (DOI 10.1055/s-2002-31891)
  4. Pummerer, « Über Phenyl-sulfoxyessigsäure », Chemische Berichte, vol. 42, no 2, , p. 2282–2291 (DOI 10.1002/cber.190904202126)
  5. Pummerer, « Über Phenylsulfoxy-essigsäure. (II.) », Chemische Berichte, vol. 43, no 2, , p. 1401–1412 (DOI 10.1002/cber.19100430241, lire en ligne)
  6. Smith, Coote, Sneddon et Procter, « Beyond the Pummerer Reaction: Recent Developments in Thionium Ion Chemistry », Angewandte Chemie International Edition, vol. 49, no 34, , p. 5832–44 (PMID 20583014, DOI 10.1002/anie.201000517).
  7. Stamos, « Arylation of α-phosphoryl sulfides via their pummerer rearrangement intermediates generated from the corresponding sulfoxides », Tetrahedron Letters, vol. 27, no 51, , p. 6261–6262 (DOI 10.1016/S0040-4039(00)85447-7).
  8. Kosugi, Watanabe et Uda, « Lewis Acid-Mediated Carbon-Carbon bond forming reaction using the Pummerer Rearrangement Products from Chiral beta-Hydroxy Sulfoxides », Chemistry Letters, vol. 18, no 10, , p. 1865–1868 (DOI 10.1246/cl.1989.1865)
  9. Meffre, Durand et Le Goffic, « Methyl (S)-2-phthalimido-4-methylthiobutanoate », Organic Syntheses, vol. 76, , p. 123 (DOI 10.15227/orgsyn.076.0123).
  10. Ishibashi, Miki, Ikeda et Kiriyama, « Synthesis of α-(Methylthio)arylacetamides and Their Conversion into Some Biologically Active Arylethylamines », Biological & Pharmaceutical Bulletin, vol. 37, no 12, , p. 3396–3398 (DOI 10.1248/cpb.37.3396).
  11. Gilmour, Prior, Burton et Holmes, « An organocatalytic approach to the core of eunicellin », Chemical Communications, no 38, , p. 3954 (DOI 10.1039/B709322E).
  12. Laleu, Santarém Machado et Lacour, « Pummerer fragmentation vs. Pummerer rearrangement: a mechanistic analysis », Chemical Communications, no 26, , p. 2786–2788 (DOI 10.1039/b605187a)
  • icône décorative Portail de la chimie